  | 
     
    
      
      
		- ENLACE QUÍMICO
 
		- ENLACE IÓNICO
 
		- 
		ENLACE IÓNICO. PROPIEDADES DOS COMPOSTOS IÓNICOS
 
		- 
		ENLACE COVALENTE. ESTRUTURAS DE LEWIS
 
		- 
		ENLACE COVALENTE. POLARIDADE DOS ENLACES
 
		- 
		
		ENLACE COVALENTE. PROPIEDADES DOS COMPOSTOS COVALENTES
 
		- 
		ENLACE METÁLICO. MODELO DO GAS ELECTRÓNICO
 
		- 
		ENLACE METÁLICO. PROPIEDADES DOS COMPOSTOS METÁLICOS
 
		- FUERZAS INTERMOLECULARES
 
		- FORMULACIÓN INORGÁNICA
 
		 
        
        
		    Ada E. Yonath, israelí, recibiu en 2009 o 
		Premio Nobel de Química xunto con Venkatraman Ramakrishnan e Thomas A. 
		Steitz polos seus estudos sobre a estrutura e función do ribosoma. 
		   O seu traballo centrouse na determinación e o estudo da 
		estrutura dos ribosomas, macromoléculas responsables da síntese de 
		proteínas e o modo de acción dos antibióticos. Introduciu unha nova 
		técnica, a criobiocristalografía, na cal os cristais de materiais 
		biolóxicos sensible á radiación son arrefriados a temperaturas menores 
		de 100 K, o que facilita o seu estudo por raios X. 
		
		
		 | 
     
	
    | 
 ENLACE QUÍMICO
      | 
     
	
      | 
            A razón que fai que os átomos se unan é a razón que move 
		todos os cambios da natureza, os átomos únense para conseguir máis 
		estabilidade. A maior parte dos átomos son máis estables xuntos que 
		separados. Tentaremos comprender por que.  
		   Imaxina dous átomos a gran distancia. Se son máis 
		estables unidos que separados cando se acheguen é porque as forzas de 
		atracción serán favorables para a formación da ligazón. Cales poden 
		ser estas forzas? pois as interaccións dos electróns dun átomo cos 
		protóns do outro e viceversa. Pero a medida que se acheguen tamén 
		estarán sometidos a forzas de repulsión, as establecidas entre os 
		electróns dun átomo e os do outro, ou as interaccións entre os núcleos 
		dos dous átomos. Chegará un momento en que as forzas atractivas 
		maximízanse e as repulsivas minimízanse, neste momento os núcleos 
		estarán a unha distancia que chamaremos distancia de enlace. Xa 
		non se poden xuntar máis pois se repelerían, nin se poden separar pois 
		se atraerían. Diremos que quedaron enlazados. Esta distancia de ligazón 
		correspóndese cunha enerxía que chamaremos enerxía de enlace. 
        
           Chamamos enlace químico á interacción que se dá entre 
		os átomos cando se unen para dar moléculas ou redes cristalinas. 
         
		   Para entender por que se estabilizan os átomos ao formar 
		enlaces é útil fixarse nos únicos elementos da Táboa que non teñen 
		tendencia a asociarse, son tan estables que non necesitan unirse a 
		outros átomos. Son os gases nobres. Non foi fácil descubrilos 
		pois existen en pequenas cantidades no aire. Houbo que licuar o aire 
		para obtelos illados. Máis fantástica é a historia do helio, He, que foi 
		descuberto antes no Sol que na Terra.
         
		   Por que son tan estables os gases nobres? O único que 
		diferencia aos gases nobres dos demais elementos é que teñen as capas 
		electrónicas completas, con máis propiedade, teñen 8 electróns na capa 
		máis externa, os dous electróns s, e os seis electróns p. Ter esta 
		configuración ns2 np6 debe de conferir gran 
		estabilidade aos átomos. Esta configuración coñécese como 
		configuración de gas nobre. 
         
		   Todos os demais átomos tenden a conseguir esta 
		configuración de gas nobre cando se combinan con outros átomos. Este 
		comportamento denominámolo Regra do octeto: Os átomos cando se 
		asocian con outros átomos tenden a gañar, perder ou compartir electróns 
		para conseguir configuración de gas nobre.
         
		   Ben, xa vimos que para conseguir estabilidade os átomos 
		deben conseguir configuración de gas nobre, e para conseguir esta 
		configuración deben de gañar, perder ou compartir electróns. En función 
		de como se comporten os átomos para conseguir configuración de gas nobre 
		atopamos tres enfoques diferentes para o problema do enlace: Enlace 
		iónico, enlace covalente e enlace metálico. 
        Comproba as interaccións atractivas e 
		repulsivas entre átomos utilizando esta simulación da Universidade de 
		Colorado:  
         
        
        
		EXERCICIOS
      PARA PRACTICAR
         
        
		 
         
         | 
     
	
    | 
 ENLACE IÓNICO
      | 
     
	
      | 
           Que ocorre cando temos dous átomos de moi diferente 
		electronegatividade? Por exemplo un metal como o sodio, Na, e un non 
		metal como o cloro, Cl. As súas configuracións electrónicas son: [11Na] = 1s2 2s2 
		2p6 3s1  
		[17Cl] = 1s2 2s2 
		2p6 3s2 3p2 3p2 3p1 
		 
		   Para que estes átomos consigan máis estabilidade deben 
		conseguir configuración de gas nobre, pódena conseguir se o sodio perde 
		un electrón, e este electrón gáñao o cloro. É dicir transfírese un 
		electrón do sodio ao cloro: 
		[11Na+] = 1s2 
		2s2 2p6   
		[17Cl−] = 1s2 
		2s2 2p6 3s2 3p6  
		 
		   Vemos que se forman dous ións, 
		o metal dá lugar a un ión positivo e o non metal a un ión negativo. 
		Estes ións atráense por forzas de tipo electrostático de Coulomb, pero 
		non se tocarán, xa que a pequenas distancias as forzas de repulsión 
		entre as capas electrónicas dos dous ións separaríanos. Por tanto 
		manteranse ligados entre eles a certa distancia.  
		   Como non teremos só dous ións, 
		teremos moitísimos, cada ión dun signo rodearase do maior número de ións 
		de signo contrario, formándose unha rede cristalina de ións positivos e 
		negativos. No caso do cloruro de sodio, NaCl, esta rede será: 
		
		   O índice de coordinación, ou 
		ións dun signo que rodean a outro de signo contrario, a unha distancia 
		mínima, nesta rede é 6. Cada ión Na+ está rodeado de 6 ións 
		Cl−, e cada ión Cl− está rodeado de 6 ións Na+. 
		Esta rede cristalina coñécese como rede cúbica centrada nas caras. 
		
		  
		   Podemos atopar redes cristalinas con maior índice de 
		coordinación, así a rede do CsCl presenta un índice de coordinación 8, 
		cada ión Cs+ rodéase de 8 ións Cl−, e cada ión Cl− 
		rodéase de 8 ións Cs+. Esta rede cristalina coñécese como 
		rede cúbica centrada no corpo. 
		   De que depende que unhas redes cristalinas presenten 
		unha disposición de ións diferentes doutras? A diferenza está nas 
		características dos ións, nos seus tamaños relativos e nas súas cargas 
		eléctricas. Para unhas características dadas os ións buscarán a 
		estrutura máis estable.  
		   Cando os ións non teñen a mesma carga, en valor 
		absoluto, non hai o mesmo número de ións que rodean a outro de signo 
		contrario. Por exemplo na fluorita, CaF2, cada ión F− 
		está rodeado de 4 ións Ca2+, e cada ión Ca2+ está 
		rodeado por 8 ións F−.  
  
		
		   Esta tamén é unha estrutura cúbica centrada nas caras, 
		pero de tipo fluorita. 
		   Podemos estudar desde o punto de vista enerxético a 
		formación do cristal iónico, Supoñamos que temos os elementos que forman 
		o cristal e queremos chegar ao composto iónico. A enerxía involucrada 
		neste proceso é a entalpía de formación do cristal cando o proceso está 
		realizado a presión constante. Se se forma o cristal esta enerxía debe 
		ter un valor negativo. Pero este proceso podémolo levar a cabo a través 
		doutros pasos intermedios, xa que a entalpía é unha función de estado, e 
		só depende dos estados inicial e final. O ciclo de reaccións que nos 
		leva destas dúas formas diferentes ata o cristal coñécese como ciclo de 
		Born-Haber. 
		   Ciclo de Born-Haber: Permítenos calcular a 
		enerxía de rede aplicando a lei de Hess. 
        
        
           Observamos así que o proceso máis favorable na formación 
		do cristal iónico é a formación da rede cristalina. A enerxía 
		involucrada en conseguir o cristal iónico a partir dos ións en estado 
		gas é a entalpía reticular ou entalpía de rede.  
		   Ecuación de Born-Landé: Permite calcular a 
		entalpía de rede a partir duns parámetros dependentes dos ións e outros 
		característicos da rede cristalina. 
        
        Z+ y Z− = cargas dos ions 
        e = carga do electrón 
        NA = número de Avogadro 
        A = constante de Madelung, depende do tipo de rede cristalina 
        ε0 = permitividade do baleiro 
        r0 = distancia entre os centros dos ions 
        n = factor de compresibilidade de Born
         
           Se comparamos compostos que presentan a mesma rede 
		cristalina a enerxía de rede será proporcional ao seguinte cociente: 
        
           Neste caso, se temos dous compostos iónicos que 
		cristalizan na mesma rede, avaliando como varían as cargas dos ións, ou 
		as distancias entre os mesmos, podemos coñecer que composto presentará 
		maior enerxía de rede. 
		   Lembra que podes recristalizar sales para obter cristais 
		grandes e ben formados, como podes ver neste vídeo: 
		
		
		 
          | 
     
	
    | 
 
ENLACE 
IÓNICO. 
PROPIEDADES DOS COMPOSTOS IÓNICOS  | 
     
	
      | 
		 Os compostos iónicos presentan unhas propiedades resumidas nesta 
		táboa: 
      
        
          | 
             PROPIEDADES DAS
            SUSTANCIAS IÓNICAS  | 
         
        
          | Propiedade | 
          
			Característica | 
          
			Por
            que? | 
         
        
          | Estructura | 
          Redes cristalinas formadas por ións. | 
          Os ións de distinto 
			signo atráense e rodéanse do maior número de ións de signo 
			contrario, formando unha rede cristalina iónica. | 
         
        
          | Estado
            físico | 
          Sólidas | 
          O gran número de ións 
			que forman a rede fai que se presente en estado sólido | 
         
        
          | Puntos de
            fusión e ebulición | 
          Altos | 
          Os enlaces iónicos son 
			ligazóns fortes, difíciles de romper. Os puntos de fusión e 
			ebulición serán máis altos nos compostos iónicos con maiores 
			enerxías de rede. | 
         
        
          | Dureza | 
          Son duras pero tamén fráxiles | 
          Son duras porque as 
			ligazóns son fortes, pero son fráxiles pois ao golpealas as capas de 
			ións desprázanse entrando en contacto ións do mesmos signo que se 
			repelen. | 
         
        
          | Solubilidade | 
          Algunhas son solubles en auga 
			e disolventes
            polares | 
          As moléculas polares 
			como a auga rodean os ións e sepáranos da rede se as forzas de 
			interacción entre o ión e a auga son maiores que entre o ión e o 
			resto da rede. Se a enerxía de rede é grande a súa solubilidade será 
			moi baixa. | 
         
        
          | Conductividade
            eléctrica | 
          Conducen a corrente en disolución
            ou fundidas | 
          Para que haxa 
			condutividade debe haber movemento de cargas, os ións só pódense 
			mover cando están disoltos ou en estado líquido, nos sales fundidos | 
         
        
          | 
			Exemplos | 
          
			 Cloruro de sodio, NaCl  | 
         
		
          
			  | 
         
		
          | 
			 Sulfato de cobre, CuSO4·5H2O  | 
         
		
          
			  | 
         
		
          | 
			 Calcita, CaCO3  | 
         
		
          
			  | 
         
		
          | 
			Outros: Sales: CaSO4, Na2CO3,
            NH4NO3. Óxidos: CaO, Fe2O3. 
			Hidróxidos: NaOH, Ba(OH)2. | 
         
       
       
		
		
		EXERCICIOS
      PARA PRACTICAR
         
        
		 
          | 
     
	
    | 
 
ENLACE COVALENTE. ESTRUTURAS 
DE LEWIS  | 
     
	
      | 
            Que ocorre cando os elementos que se enlazan son dous 
		non metais? Os non metais tenden a gañar electróns para conseguir 
		configuración de gas nobre, pero para que un átomo gañe electróns debe 
		haber outro que os perda, como pasaba no enlace iónico, pero agora todos 
		os átomos teñen necesidade de electróns. Neste caso os átomos 
		necesitados de electróns téñenos que conseguir por outro procedemento 
		que será compartindo electróns. Os átomos achegaranse ata que as súas 
		nubes electrónicas solapen e poidan compartir certo número de electróns, 
		cos que conseguir a configuración de gas nobre, que necesitan. 
		   Un primeiro modelo interesante para entender como se 
		poden compartir electróns para conseguir configuración de gas nobre é o 
		modelo das estruturas de Lewis. 
        
        
           Este modelo, para explicar a ligazón covalente, foi 
		proposto por Gilbert Newton Lewis en 1916. Segundo este modelo os 
		átomos aproxímanse ata solapar as súas capas electrónicas, de forma que 
		os átomos cando se enlazan comparten pares de electróns. Estes 
		pares de electróns que se comparten denomínanse pares enlazantes. 
		Pero tamén podemos ter pares de electróns sen compartir sobre algúns 
		átomos, que chamaremos pares non enlazantes. Nestas estruturas 
		observamos que, cando se enlazan, os átomos conseguen ter catro pares de 
		electróns ao redor dos mesmos, é dicir, conseguen completar o octeto, 
		conseguen configuración de gas nobre. 
        No 
		tema
        de enlace de 4º de ESO xa vimos como construir estas
        estruturas de Lewis para moléculas sinxelas.  
        
          
            
              | Molécula | 
              Estrutura de Lewis | 
             
            
              | H2 | 
                | 
             
            
              | F2 | 
                | 
             
            
              | Cl2 | 
                | 
             
            
              | O2 | 
                | 
             
            
              | N2 | 
                | 
             
            
              | HF | 
                | 
             
            
              | HCl | 
                | 
             
            
              | H2O | 
                | 
             
            
              | NH3 | 
                | 
             
            
              | CH4 | 
                | 
             
            
              | HCN | 
                | 
             
            
              | CO2 | 
                | 
             
           
         
           En todas observamos que os átomos están rodeados de 4 
		pares de electróns, configuración de gas nobre, excepto o H que está 
		rodeado dun par, configuración de gas nobre para o hidróxeno. 
		   Para construír estruturas máis complexas podemos seguir 
		as normas seguintes: 
		1º Elixir o átomo central. Adoita ser o menos electronegativo 
		ou o que máis electróns necesita para conseguir estrutura de gas nobre. 
		2º Calcular os electróns de valencia necesarios, EN, para que 
		os átomos cumpran coa regra do octeto. Contaranse 8e− por 
		cada átomo, coas seguintes excepcións:2e− para o H, 4e− 
		para o Be, 6e− para o B. Os elementos a partir do terceiro 
		período poden ter "octetos expandidos", se son necesarios sumaranse ao 
		número de electróns de valencia o número de ligazóns formadas, se non dá 
		menos de 8, para obter os electróns necesarios, EN. 
		3º Calcular os electróns de valencia dispoñibles, ED. 
		Sumaranse os electróns de valencia de todos os átomos da molécula, e 
		teranse en conta tamén as cargas dos ións, nas cargas negativas súmanse 
		electróns, nas positivas réstanse. 
		4º Calcular os pares enlazantes, PE. Aos electróns necesarios, 
		EN, restámoslle os electróns dispoñibles, ED, dándonos os electróns que 
		se deben compartir. Dividindo por 2 obtemos os pares de enlace, PE: 
        
        5º Calcular os pares non enlazantes, PN. Os electróns 
		dispoñibles, ED, menos os electróns que forman pares de ligazón, 2·PE, 
		dannos os electróns que non enlazan nada, que non contribúen á ligazón. 
		Dividindo por 2 obtemos os pares non enlazantes, PN: 
        
        Por exemplo, calcula a estrutura de Lewis para o ozono, O3: 
        
            Que estrutura podemos propoñer para o ozono 
		segundo a TRPECV?  
		   Vexamos cal é a estrutura real do ozono: 
		
		Estrutura do ozono (Wikipedia). 
        
           Se contamos os electróns que asignamos a cada átomo na 
		estrutura, con respecto aos electróns de valencia que debería ter, 
		podemos calcular a carga formal sobre cada átomo. 
		   Para contar os electróns sobre cada átomo contaremos un 
		por cada par de enlace e dous por cada par non enlazante. 
		   Se o número de electróns ao redor do átomo é maior que o 
		número de electróns de valencia hai exceso de electróns. A carga formal 
		será negativa e igual ao número de electróns en exceso. 
		   Se o número de electróns ao redor do átomo é menor que o 
		número de electróns de valencia hai defecto de electróns. A carga formal 
		será positiva e igual ao número de electróns en defecto. 
		   Se o número de electróns ao redor do átomo é igual ao 
		número de electróns de valencia non hai nin exceso nin defecto de 
		electróns. A carga formal será cero. 
		   A suma de todas as cargas formais debe ser igual á carga 
		total do composto.  
		   Se podemos propoñer varias estruturas para un 
		composto será máis probable a que presente menores cargas formais sobre 
		os seus átomos. 
		
        
           Sábese que na molécula de ozono os enlaces son iguais, 
		pero na estrutura de Lewis proposta os enlaces son diferentes, un 
		sinxelo e outro dobre. Unha solución a este problema é propoñer máis 
		dunha estrutura posible para unha substancia, estruturas que chamaremos
		estruturas resonantes. A estrutura real será unha mestura entre 
		as estruturas resonantes, que chamaremos híbrido de resonancia. 
        
        
           Hai átomos nalgúns compostos que non teñen electróns 
		suficientes para completar o octeto, como lle pasa ao B no BF3.   
  
        
        
           Outros compostos teñen átomos que poden presentar máis 
		de catro enlaces, dise que teñen o octeto expandido. Son átomos 
		que dispoñen de orbitais d que tamén poden utilizar na formación de 
		enlaces, como lle ocorre ao S no SF6, e a outro elementos do 
		terceiro período e superiores. 
        
        
           TRPECV significa Teoría de repulsión dos pares 
		electrónicos da capa de valencia. Este modelo tenta explicar a 
		xeometría das moléculas a partir das estruturas de Lewis. Predí a 
		xeometría molecular e os ángulos de enlace supoñendo que os pares 
		electrónicos, xa sexan de enlace como non enlazantes, débense dispoñer 
		nunha xeometría que minimice as forzas repulsivas entre os mesmos. Para 
		determinar a estrutura, os enlaces dobres e triples, contan coma se 
		fosen sinxelos. 
        
          
            
              | Pares electrónicos | 
              Disposición dos pares | 
              Ángulos | 
              Exemplos | 
             
            
              | 2 | 
               
                Lineal 
               | 
              180º | 
              BeF2
                 CO2 
               | 
             
            
              | 3 | 
               
                Trigonal plana 
               | 
              120º | 
              BF3
                 SO3 
               | 
             
            
              | 4 | 
               
                Tetraédica 
               | 
              109º | 
              CH4, NH3,
                H2O | 
             
            
              | 5 | 
               
                Bipiramidal trigonal 
               | 
              120º y 90º | 
              PCl5 | 
             
            
              | 6 | 
               
                Octaédrica 
               | 
              90º | 
              SF6 | 
             
           
         
        Constrúe moléculas e observa a súa xeometría
        utilizando esta simulación da Universidade de Colorado: 
        
           En MODELO, podes construír moléculas engadindo pares de 
		enlace e pares non enlazantes ao átomo central. Tamén podes eliminar 
		pares. Podes mostrar os ángulos de enlace, observa como varían os 
		ángulos de enlace en función do número de pares. Tamén che dá o nome da 
		xeometría de pares e da xeometría molecular.    En MOLÉCULAS 
		REAIS tes algúns exemplos de moléculas. Alternando entre a estrutura 
		real e o modelo podes observar o efecto que producen os pares non 
		enlazantes sobre a xeometría molecular. 
		
		EXERCICIOS
      PARA PRACTICAR 
		   | 
     
	
    | 
 
ENLACE COVALENTE. POLARIDADE 
DOS ENLACES
      | 
     
	
      | 
        
            Cando dous átomos iguais únense mediante un enlace 
		covalente os dous átomos atraen igualmente aos electróns do enlace. O 
		centro da carga positiva e negativa na molécula é o mesmo. Isto pasa no 
		H2, N2, ou Cl2.
         
		   Pero que ocorre se os átomos unidos por unha ligazón 
		covalente son distintos, como ocorre por exemplo no HCl. Se dous átomos 
		distintos únense por un enlace covalente sempre un atraerá máis os 
		electróns do enlace que o outro. O átomo máis electronegativo atraerá 
		máis aos electróns do enlace producindo unha separación de cargas. Sobre 
		o cloro haberá una certa carga parcial negativa e sobre o hidróxeno una 
		certa carga parcial positiva, xa que o cloro é máis electronegativo que 
		o hidróxeno. Esta separación de cargas creará un momento dipolar de 
		enlace .
         
        
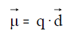
           O momento dipolar é un vector que vén dado polo produto 
		da carga efectiva sobre cada átomo e a distancia que as separa. O 
		sentido deste vector apunta cara ao átomo máis electronegativo. 
  
      
      
      	   Unha molécula é polar se cumpre dúas 
		condicións:
         
		 1º Se ten enlaces polares, é dicir, se ten 
		enlaces entre átomos distintos, e
         
		 2º se estes dipolos non se anulan por simetría.
         
		   A molécula de auga, presenta ligazóns 
		polares e como é angular estes dipolos de ligazón non se anulan por 
		simetría, 
      
        senón que se suman vectorialmente para dar un vector 
		momento dipolar total distinto de cero. O H2O é unha molécula
		polar. 
      
      	   A molécula de CO2, tamén 
		presenta enlaces polares, pero estes anúlanse por simetría, de forma que 
		o momento dipolar total é cero. O CO2 é unha molécula 
		apolar. 
      
           Como sabemos que dipolos de enlace se anulan por 
		simetría? Depende do número de enlaces iguais que rodeen a un átomo 
		central e dos ángulos que formen. Telos nesta táboa: 
          
            
              | 
				ANÚLANSE 
				POR SIMETRÍA OS SEGUINTES DIPOLOS DE ENLACE | 
             
            
              | Dipolos de enlace iguaIs | 
              Disposición dos dipolos 
				de enlace | 
              Ángulos | 
             
            
              | 2 | 
               
                Lineal 
               | 
              180º | 
             
            
              | 3 | 
               
                Trigonal plana 
               | 
              120º | 
             
            
              | 4 | 
               
                Tetraédica 
               | 
              109º | 
             
            
              | 5 | 
               
                Bipiramidal trigonal 
               | 
              120º y 90º | 
             
            
              | 6 | 
               
                Octaédrica 
               | 
              90º | 
             
           
         
        
		
		
		EXERCICIOS
      PARA PRACTICAR 
		   | 
     
	
    | 
 
ENLACE 
COVALENTE. 
PROPIEDADES DOS COMPOSTOS COVALENTES  | 
     
	
      | 
		    As substancias covalentes poden ser 
		moléculas ou cristais covalentes, é dicir, redes cristalinas onde todas 
		as ligazóns son covalentes. Dependendo de cada tipo de substancia 
		teremos diferentes propiedades: 
		
      
        
          | 
             PROPIEDADES DAS
            SUSTANCIAS COVALENTES MOLECULARES  | 
         
        
          | Propiedade | 
          Característica | 
          Por
            que? | 
         
        
          | Estrutura | 
          Moléculas dun determinado número
            de átomos | 
          Os átomos comparten electróns dando 
			lugar a ligazóns covalentes que os unen formando agregados que 
			chamamos moléculas. | 
         
        
          | Estado
            físico | 
          Gas, líquido ou sólido | 
          As moléculas máis pequenas adoitan 
			dar lugar a gases a non ser que as interaccións intermoleculares 
			sexan grandes. | 
         
        
          | Puntos de
            fusión e ebulición | 
          Baixos | 
          En xeral as forzas entre moléculas 
			son débiles. | 
         
        
          | Dureza | 
          Brandas | 
          Debido ás débiles forzas
            intermaleculares. | 
         
        
          | Solubilidade | 
          As substancias polares disólvense en 
			disolventes polares, como a auga, e as substancias apolares 
			disólvense disolventes apolares. | 
          A solubilidade depende da polaridade 
			das moléculas, as polares disólvense en disolventes polares e as 
			apolares en disolventes apolares. | 
         
        
          | Condutividade
            eléctrica | 
          En xeral non son condutoras | 
          Os electróns dos enlaces están 
			localizados e carecen de cargas que se poidan desprazar. | 
         
        
          | Exemplos | 
          
			 Auga, H2O  | 
         
		
          
			  | 
         
		
          | 
			 Sacarosa, C12H22O11 
			(azucre de mesa)  | 
         
		
          
			  | 
         
		
          | 
			 Sofre, S  | 
         
		
          
			  | 
         
		
          | Outros: O2, N2,
            CH4, C6H12O6,
            CH3CH2OH | 
         
       
       
		  
		
      
        
          | 
             PROPIEDADES DAS
            SUSTANCIAS COVALENTES CRISTALINAS  | 
         
        
          | Propiedade | 
          Característica | 
          Por
            que? | 
         
        
          | Estrutura | 
          Redes cristalinas covalentes | 
          Os átomos comparten electróns dando 
			lugar a estruturas cristalinas formadas por enlaces covalentes  | 
         
        
          | Estado
            físico | 
          Sólido | 
          Debido á fortaleza dos enlaces 
			covalentes, custa moito rompelos | 
         
        
          | Puntos de
            fusión e ebulición | 
          Moi altos | 
          A interacción entre os átomos na 
			rede é moi forte | 
         
        
          | Dureza | 
          Moi duras | 
          Son as substancias máis duras que 
			coñecemos debido á fortaleza dos enlaces que as forman | 
         
        
          | Solubilidade | 
          Insolubles | 
          Os disolventes non son capaces de 
			romper os enlaces covalentes que as forman | 
         
        
          | Conductividade
            eléctrica | 
          En xeral non son condutoras, aínda 
			que o grafito si é condutor  | 
          Os electróns dos enlaces están 
			localizados e carecen de cargas que se poidan desprazar. Aínda que 
			algunhas si presentan condutividade como o grafito. | 
         
        
          | Exemplos | 
          
			 Cuarzo, SiO2  | 
         
		
          
			  | 
         
		
          | 
			 Silex, rocha que contén sílice SiO2, 
			moi apreciada na prehistoria para a fabricación de útiles de pedra.  | 
         
		
          
			  | 
         
		
          | Outros exemplos: C(grafito), C(diamante), carborundo SiC | 
         
       
       
           Se sodes afeccionados aos minerais 
		saberedes que están formados por substancias cristalinas iónicas ou 
		covalentes. Observa este vídeo para saber como se forman na natureza os 
		cristais destes minerais: 
		
		
		
		EXERCICIOS
      PARA PRACTICAR
         
        
		 
          | 
     
	
    | 
 
ENLACE METÁLICO. MODELO 
DO GAS ELECTRÓNICO  | 
     
	
      | 
           Enlace metálico: dáse entre átomos metálicos. Son 
		todos sólidos coa excepción do mercurio que é líquido a temperatura 
		ambiente. Presentan índices de coordinación moi altos, frecuentemente 
		12, é dicir, cada átomo metálico rodéase a unha distancia mínima doutros 
		doce átomos metálicos. 6 nun plano, 3 sobre ese plano, e 3 máis por 
		baixo do plano, nunha estrutura que se denomina hexagonal compacta.    
		Estruturas das redes metálicas: Podemos distinguir nos metais tres redes 
		de diferente estrutura: 
		
			- Rede cúbica centrada no corpo (CC). Por exemplo: ferro 
			alfa, vanadio, cromo, titanio, molibdeno, wolframio.
 
			- Rede cúbica centrada nas caras (CCC). Por exemplo: ferro 
			gamma, cobre, aluminio, ouro, prata, chumbo, níquel.
 
			- Rede hexagonal compacta (HC). Por exemplo: magnesio, 
			cinc, cadmio.
 
		 
		
		
       As diferenzas entre estas estruturas pódelas atopar nestes 
	vídeos: 
		
		   Os metais caracterízanse por ter estruturas moi 
		compactas e altas densidades, os seus átomos deben estar moi xuntos. 
		Entre as súas propiedades características están a alta condutividade 
		eléctrica e condutividade térmica. Dado que os electróns de 
		valencia dos metais pódense mover con facilidade duns átomos a outros, 
		debido aos seus baixos potenciais de ionización. Podemos supoñer un 
		modelo no que os átomos se distribúen en estruturas cristalinas 
		compactas e os electróns de valencia desprázanse entre eles con 
		facilidade, é o que se denomina o modelo do gas electrónico, ou 
		do mar de electróns.  
		   Se illamos os electróns de valencia, nos átomos 
		metálicos, o restos que queda é un catión metálico, por iso ao 
		representar este modelo debúxase unha estrutura de ións metálicos 
		positivos, entre a que se moven os electróns de valencia. Pero hai que 
		ter coidado con esta representación, pois non existen tales ións, lembra 
		que para que haxa un ión positivo, que perde electróns, ten que haber 
		ións negativos, que os gañen, como ocorre nos compostos iónicos. Os 
		electróns que se moven na rede cristalina sempre están en contacto cos 
		átomos metálicos, de forma que non hai tales ións, só é unha forma de 
		representar o átomo, debuxando a nube de electróns de valencia e o resto 
		do átomo. 
		   Este modelo tamén explica as propiedades de 
		ductilidade, facilidade para formar fíos, e maleabilidade, 
		facilidade para formar láminas moi finas, que presentan os metais. Ao 
		non haber repulsiones, nin ligazóns fortes que haxa que romper entre os 
		átomos, o gas electrónico que os envolve favorece o seu desprazamento 
		entre os mesmos. 
		   Lembra que aínda que ás veces represéntese este modelo 
		como unha estrutura de cationes metálicos rodeados dun mar de electróns, 
		non existen propiamente estes cationes, non é un modelo iónico, tampouco 
		o é covalente, compartindo os electróns con átomos próximos. En todo 
		caso debemos de entender que todos os átomos metálicos comparten, entre 
		todos, os seus electróns de valencia. 
        
		 
          | 
     
	
    | 
 
ENLACE 
METÁLICO. 
PROPIEDADES DOS COMPOSTOS METÁLICOS  | 
     
	
       
      
        
          | 
             PROPIEDADES DAS
            SUSTANCIAS METÁLICAS  | 
         
        
          | Propiedade | 
          Característica | 
          Por
            que? | 
         
        
          | Estrutura | 
          Redes cristalinas metálicas | 
          Os átomos metálicos forman 
			estruturas moi compactas con altos índices de coordinación | 
         
        
          | Estado
            físico | 
          Sólido (o Hg é líquido) | 
          Os altos índices de coordinación fan 
			que estas estruturas sexan sólidas. | 
         
        
          | Puntos de
            fusión e ebulición | 
          Medios e altos | 
          Hai metais que funden facilmente 
			como Sn ou Pb e outros que só o fan a altísimas temperaturas como W 
			ou Os | 
         
        
          | Dureza | 
          Variable | 
          Algúns son moi brandos como o Na que 
			se corta con coitelo, ou o Pb, e outros presentan gran dureza 
			dependendo da fortaleza da ligazón. En xeral son dúctiles e 
			maleables. | 
         
        
          | Solubilidade | 
          Insolubles en auga, pero solubles 
			noutros metais formando aliaxes, e en Hg formando amálgamas. Tamén 
			moitos se disolven ben en ácidos. | 
          As moléculas de auga non os disolven 
			pero os ácidos oxidan moitos átomos metálicos a cationes que así 
			pasan á disolución. | 
         
        
          | Condutividade
            eléctrica | 
          Son moi bós condutores | 
          Os electróns libres da rede 
			cristalina favorecen a condutividade eléctrica e térmica dos metais. | 
         
        
          | Exemplos | 
          
			 Ouro, Au.  | 
         
		
          
			  | 
         
		
          | 
			 Mercurio, Hg, único metal líquido a 
			temperatura ambiente  | 
         
		
          
			  | 
         
		
          | 
			 Aluminio, Al; Ferro, Fe; Latón, 
			aliaxe de Cu e Zn.  | 
         
		
          
			  | 
         
       
       
		   Déixovos aquí uns vídeos interesantes sobre dous metais 
		curiosos. Un o mercurio, Hg, o único metal líquido a temperatura 
		ambiente. Outro o wolframio, W, dos metais máis densos que existen. 
		
		
		EXERCICIOS
      PARA PRACTICAR
         
		   | 
     
	
    | 
 
FORZAS INTERMOLECULARES  | 
     
	
      | 
            Xa vimos que as substancias covalentes moleculares 
		podían presentarse nos tres estados: sólido, liquido e gas. Que aparezan 
		nun ou outro estado depende das interaccións entre moléculas. Estas 
		interaccións entre moléculas son un tipo de ligazón que chamaremos 
		enlaces débiles, ou forzas intermoleculares, para 
		diferencialos dos enlaces fortes: iónico, covalente e metálico.  
		   Estas ligazóns entre moléculas poden ser de dous tipos:
		Forzas de Van der Waals e enlaces de hidróxeno. 
		
			-  As forzas de Van der Waals poden ser de varios tipos:
 
		 
		
			- Forzas de dispersión de London, ou forzas dipolo instantáneo 
			- dipolo inducido.
 
			- Forzas dipolo - dipolo inducido, ou forzas de Debye.
 
			- Forzas dipolo - dipolo, ou forzas de Keesom. 
 
		 
		   As forzas de dispersión de London, ou forzas dipolo 
		instantáneo - dipolo inducido, xustifican os puntos de ebulición 
		máis altos do esperable para moléculas apolares como, N2, O2, 
		ou os gases nobres. Estas moléculas apolares non debesen interaccionar, 
		pero nalgunha delas pódense producir dipolos instantáneos. Ao moverse os 
		electróns dentro da molécula, nalgún momento, pode haber máis densidade 
		electrónica nunha partes que noutras da molécula. Estes dipolos 
		instantáneos, que terán unha duración moi curta, inducen nas que están 
		próximas dipolos inducidos, estes dipolos formados interaccionan en 
		breves intervalos de tempo, aumentando os puntos de ebulición. Nos 
		instantes posteriores estes dipolos desaparecen, as moléculas volverán 
		ser apolares, polo que estas interaccións son moi débiles. 
    
    	   As forzas dipolo - dipolo inducido, ou forzas de 
		Debye, teñen lugar ao interaccionar moléculas polares con moléculas 
		apolares, como o H2O (polar) co CO2 (apolar). 
    
    	As forzas dipolo - dipolo, ou forzas de Keesom, son as máis 
		intensas das tres, as dúas moléculas deben de ser polares. É o caso de 
		interacción entre moléculas de HCl, por exemplo. 
		
    	
			- O enlace de hidróxeno, ou enlace por pontes de 
			hidróxeno, prodúcese en moléculas que conteñen átomos de pequeno 
			tamaño, moi electronegativos e con pares non enlazantes, como o F, O 
			e N, unidos a átomos de hidróxeno, como ocorre no HF, H2O 
			e NH3.
 
		 
    
    	   As moléculas de auga presentan ligazóns polares O-H, 
		podemos representar unha certa carga parcial negativa sobre o osíxeno e 
		unha certa carga parcial positiva sobre o hidróxeno. Estas cargas 
		parciais e os pares non enlazantes sobre o osíxeno, permiten pensar que 
		se debilita a ligazón entre o osíxeno e os hidróxenos da molécula, e 
		créase unha ligazón parcial entre o osíxeno dunha molécula e os 
		hidróxenos doutras, de forma que os hidróxenos fan de ponte entre dous 
		átomos de osíxeno, creándose unhas ligazóns parciais, que deben ter unha 
		compoñente covalente, como propuxo Pauling, e recentemente demostrouse. 
		Estas interaccións estarían entre as forzas de Van der Waals e as 
		ligazóns covalentes. Os enlaces de hidróxeno tamén son os responsables 
		da estrutura de moitas proteínas (seda, seda de araña, queratina), 
		polisacáridos estruturais (celulosa, quitina), e algúns polímeros 
		sintéticos (poliamidas). 
		   Nas moléculas de ADN os enlaces de hidróxeno son os 
		responsables dos emparellamentos entre Timina-Adenina e 
		Citosina-Guanina, nos que se forman 2 e 3 enlaces de hidróxeno 
		respectivamente. 
		
		   A interacción por enlace de hidróxeno é moito máis forte 
		que as interaccións dipolo-dipolo. O enlace de hidróxeno é a 
		xustificación dos altos puntos de ebulición do HF, H2O e NH3 
		fronte aos demais compostos de hidróxeno dos seus grupos, nos que as 
		interaccións son dipolo - dipolo. Observa o seguinte gráfico que nos 
		representa os puntos de ebulición dos compostos de hidróxeno. 
    
		En los compuestos de hidrógeno de los elementos del grupo del carbono 
		observamos que el punto de ebullición aumenta de una forma, más o menos 
		lineal desde el C al Sn, estas son moléculas apolares, pero más 
		polarizables al aumentar el tamaño del átomo central. 
		Podríamos esperar un comportamiento similar en los demás grupos, que 
		aunque presentan moléculas polares, vemos que siguen esta misma 
		variación del punto de ebullición, con la excepción de tres compuestos, 
		el NH3, el HF y el H2O. 
		En estos tres compuestos el punto de ebullición es notablemente mayor 
		que el que se esperaría de comportarse como los demás compuestos de su 
		grupo. ¿Qué ocurre entonces? Pues que debe haber una interacción entre 
		las moléculas, en este caso, mayor que la que se explicaría por las 
		fuerzas de Van der Waals. El enlace de hidrógeno, o enlace por puentes 
		de hidrógeno, es la interacción que justifica estos altos puntos de 
		ebullición. El nitrógeno, flúor y oxígeno que forman estos compuestos 
		tienen unas características que los diferencian de los demás, son átomos 
		pequeños, electronegativos y con pares no enlazantes. Cuando estén 
		unidos al hidrógeno pueden presentar enlaces por puente de hidrógeno. 
		Fíjate que el cloro no forma parte de este selecto grupo, al ser del 
		tercer período y ser más voluminoso. El carbono tampoco, no es tan 
		electronegativo, y no presenta pares no enlazantes. 
		Observa en el gráfico que el H2O, si la interacción que 
		presentara entre las moléculas fuera similar a las de los compañeros de 
		grupo, es decir, interacción dipolo-dipolo, su punto de ebullición 
		debería ser de unos -80ºC. Muy por debajo del real de 100ºC. Eso 
		significaría que el agua debería ser gas a cualquier temperatura que se 
		da en la Tierra, o dicho de otro modo, no habría agua líquida en la 
		Tierra, y por tanto no habría vida en nuestro planeta, por lo menos vida 
		como la que conocemos. La vida, por tanto, tiene que estar muy 
		agradecida a los enlaces de hidrógeno, y no solo a los del agua, sino a los 
		que se dan en otras moléculas como ácidos nucleicos o proteínas, también 
		moléculas muy ligadas a la vida. No estaría mal hacerle un monumento a 
		los enlaces por puente de hidrógeno, ¿no te parece? 
		   Nos compostos de hidróxeno dos elementos do grupo do 
		carbono observamos que o punto de ebulición aumenta dunha forma, máis ou 
		menos lineal dende o C ao Sn, estas son moléculas apolares, pero máis 
		polarizables ao aumentar o tamaño do átomo central. 
		   Poderiamos esperar un comportamento similar nos demais 
		grupos, que aínda que presentan moléculas polares, vemos que seguen esta 
		mesma variación do punto de ebulición, coa excepción de tres compostos, 
		o NH3, o HF e o H2O. 
		   Nestes tres compostos o punto de ebulición é 
		notablemente maior que o que se esperaría de comportarse como os demais 
		compostos do seu grupo. Que ocorre entón? Pois que debe haber unha 
		interacción entre as moléculas, neste caso, maior que a que se 
		explicaría polas forzas de Van der Waals. O enlace de hidróxeno, ou 
		enlace por pontes de hidróxeno, é a interacción que xustifica estes 
		altos puntos de ebulición. O nitróxeno, flúor e osíxeno que forman estes 
		compostos teñen unhas características que os diferencian dos demais, son 
		átomos pequenos, electronegativos e con pares non enlazantes. Cando 
		estean unidos ao hidróxeno poden presentar enlaces por ponte de 
		hidróxeno. Fíxate que o cloro non forma parte deste selecto grupo, ao 
		ser do terceiro período e ser máis voluminoso. O carbono tampouco, non é 
		tan electronegativo, e non presenta pares non enlazantes. 
		   Observa no gráfico que o H2O, se a 
		interacción que presentase entre as moléculas fose similar ás dos 
		compañeiros de grupo, é dicir, interacción dipolo-dipolo, o seu punto de 
		ebulición debería ser duns -80ºC. Moi por baixo do real de 100ºC. Iso 
		significaría que a auga debería ser gas a calquera temperatura que se dá 
		na Terra, ou dito doutro xeito, non habería auga líquida na Terra, e por 
		tanto non habería vida no noso planeta, polo menos vida como a que 
		coñecemos. A vida, por tanto, ten que estar moi agradecida ós enlaces de 
		hidróxeno, e non só aos da auga, senón aos que se dan noutras moléculas 
		como acedos nucleicos ou proteínas, tamén moléculas moi ligadas á vida. 
		Non estaría mal facerlle un monumento ás ligazóns por ponte de 
		hidróxeno, non che parece? 
		
		
		EXERCICIOS
      PARA PRACTICAR
         
        
		 
          | 
     
	
    | 
 
FORMULACIÓN INORGÁNICA  | 
     
    
      | 
        
        
        
        
        
        
        
        
        
        
        
        
        
        
        
        
        
        
        
        
        
         
		
		   | 
     
    
      
		    | 
     
     
  
 
 |