|
|
|
|
EQUILIBRIO QUÍMICO
|
| Con la Termoquímica estudiamos el balance de energía de una reacción química, si
es exotérmica o endotérmica, pero también como predecir en qué sentido evolucionará espontáneamente una reacción química.
Con la Cinética estudiamos la velocidad dela reacción y los mecanismos
a través de los cuales los reactivos se transforman en productos. En este tema nos dedicaremos a estudiar hasta que punto progresa una reacción química en unas condiciones concretas dadas.
Hay reacciones que transcurren hasta completarse, es decir, hasta
consumir totalmente uno de los reactivos. Tales reacciones se dice que son irreversibles. En ellas separamos los reactivos de los productos por una flecha, como por ejemplo:
La reacción de combustión entre el butano y el oxígeno progresa hasta que alguno de estos reactivos se consume totalmente. Es decir, las cantidades de
CO2 y H2O no dejan de aumentar mientras no se agote el
C4H10 o el O2.
Por el contrario, otras reacciones transcurren solo de manera limitada, sin que ninguno de los reactivos se consuma totalmente. Así, el hidrógeno y el yodo cerrados en un matraz reaccionan formando yoduro de hidrógeno, pero sin llegar a consumirse del todo. En estos casos se consigue un equilibrio entre reactivos y productos. Dicho equilibrio se alcanza tanto a partir de los reactivos como a partir de los productos. Por esta razón a este tipo de reacciones se les denomina reversibles, y en ellas separamos reactivos de productos con una doble
flecha. Los reactivos se transforman en productos y los productos que se
forman se transforman en los reactivos:
Es importante tener en cuenta que se trata de un equilibrio dinámico, pues las moléculas siguen reaccionando incluso una vez alcanzado el equilibrio. A pesar del cual las concentraciones se mantienen constantes, ya que la velocidad de la reacción directa, de izquierda a derecha, es igual a la de la reacción inversa, de derecha a izquierda. Es decir, en el equilibrio se forma yoduro de hidrógeno
a la misma velocidad con la que se descompone.
En realidad, todos los sistemas químicos cerrados alcanzan finalmente un estado de equilibrio dinámico. Sin embargo, en algunos casos es muy difícil, incluso imposible, detectar dicho equilibrio, debido
a que las cantidades de reactivos, o de productos, presentes en el equilibrio son totalmente insignificantes.
|
|
LA LEY DE ACCIÓN DE MASAS. CONSTANTE DE EQUILIBRIO,
Kc
|
|
Veamos ahora como en todo sistema químico en equilibrio las concentraciones de los reactivos y de los productos, expresadas en moles/litro, están relacionadas por una ecuación sencilla.
Analicemos los resultados de distintos experimentos, en los que se parte de diferentes cantidades de reactivos y productos. La reacción que tiene lugar se representa por
| Exp. |
[H2]0 |
[I2]0 |
[HI]0 |
⇄ |
[H2]eq |
[I2]eq |
[HI]eq |
[HI]2
[H2]·[I2] |
| 1º |
1,00·10−2 |
1,00·10−2 |
0 |
⇄ |
0,21·10−2 |
0,21·10−2 |
1,58·10−2 |
56,6 |
| 2º |
0 |
0 |
2,00·10−2 |
⇄ |
0,21·10−2 |
0,21·10−2 |
1,58·10−2 |
56,6 |
| 3º |
1,00·10−2 |
0 |
1,00·10−2 |
⇄ |
1,017·10−2 |
0,017·10−2 |
0,99·10−2 |
56,7 |
| 4º |
0 |
1,00·10−2 |
1,00·10−2 |
⇄ |
0,017·10−2 |
1,017·10−2 |
0,99·10−2 |
56,7 |
| 5º |
1,00·10−2 |
1,00·10−2 |
1,00·10−2 |
⇄ |
0,315·10−2 |
0,315·10−2 |
2,37·10−2 |
56,6 |
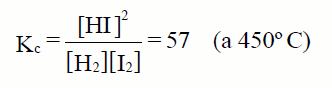
El estado de equilibrio de esta reacción homogénea se caracteriza porque las concentraciones de cada uno de los componentes se mantienen constantes; sin embargo, las concentraciones de equilibrio dependen de las proporciones relativas iniciales de las sustancias, como se puede observar en la tabla.
En todos los casos se cumple que en el equilibrio:
Se observa que las concentraciones de H2, I2
y HI en el equilibrio son diferentes en cada experimento. Sin embargo,
la relación
llamada cociente de reacción o expresión de acción de
masas, tiene, sorprendentemente, el mismo valor en todos los experimentos. Podemos escribir que
Esta es la ley del equilibrio químico, también llamada
ley de acción de masas, para nuestro sistema.
Esta ley fue propuesta por los químicos noruegos
Cato Maximilian Guldberg y Peter Waage en 1864, sobre la base de las ideas de Berthollet sobre las reacciones químicas reversibles. La constante 57 que caracteriza el equilibrio se denomina
constante de equilibrio, se representa por Kc y su valor no depende de las concentraciones
iniciales, pero si depende de la temperatura.
La constante de equilibrio depende de la temperatura, para otro valor de la misma la constante sería diferente, por ello hace falta especificar siempre la temperatura cuando se dé un valor de
Kc.
Para una reacción cualquiera, representada por la ecuación química
genérica:
si el sistema se encuentra en equilibrio químico, la constante de equilibrio viene dada por
Esta constante de equilibrio solo depende de la temperatura a la que se realiza el proceso, y no de las concentraciones de las sustancias que intervienen en el mismo.
La ley de acción de masas se puede enunciar de la siguiente manera:
|
|
En una reacción química el producto de las concentraciones de los productos, en el equilibrio, elevadas a sus respectivos coeficientes estequiométricos, dividido por el producto de las concentraciones de los reactivos, en el equilibrio, elevadas a sus respectivos coeficientes estequiométricos, es una constante a cada temperatura llamada constante de equilibrio. |
 |
|
CARACTERÍSTICAS DEL EQUILIBRIO QUÍMICO
|
| De todo el anterior podemos deducir unas
características de todo equilibrio químico:
1 - El estado de equilibrio se caracteriza porque sus propiedades macroscópicas (concentración de soluto, presión de vapor, masa de sólido sin disolver, etc.)
no varían con el tiempo.
2 - El estado de equilibrio no intercambia materia con el entorno. Si, por ejemplo, la descomposición del carbonato de calcio
no la hiciéramos en un recipiente cerrado nunca se alcanzaría el equilibrio, pues el
CO2 se escaparía.
3 - El estado de equilibrio es un estado dinámico en el que se producen continuos cambios en ambos sentidos a la misma velocidad, y por eso no varían sus propiedades macroscópicas. Así, si en el ejemplo de la descomposición del
CaCO3 sustituimos una pequeña parte de CO2 por otra marcada con
14C, al cabo de cierto tiempo observaremos la existencia de
Ca14CO3 marcado con carbono 14.
4 - La temperatura es la variable fundamental que controla el equilibrio. Así pues, a 450ºC a constante de equilibrio para la formación de HI es 57, sea cuál sea la concentración de las substancias reaccionantes.
5 - La constante de equilibrio corresponde al equilibrio expresado por una ecuación química
determinada, de forma que si cambiamos la forma de expresar el equilibrio cambia el valor de la constante de equilibrio, aunque el valor resultante está relacionado con la misma.
|
|
EXPRESIÓN DE Kp A PARTIR DE LA ECUACIÓN QUÍMICA DE LA REACCIÓN
|
| En una mezcla de gases, la concentración molar de uno cualquiera de ellos está relacionada con la presión parcial. Si los gases presentan comportamiento ideal
donde n es el número de moles de gas, P la presión parcial ejercida por el mismo, y
V el volumen total de la mezcla.
donde M es la concentración molar, que será igual a
Es decir, la presión parcial de un reactivo o producto gaseoso, a una temperatura dada, es directamente proporcional a la concentración molar.
Si todos los reactivos y productos de una reacción química dada son gases, la expresión de acción de masas puede escribirse a partir de las presiones parciales.
la constante de equilibrio será:
expresando las concentraciones molares en función de las presiones parciales:
Donde se define la constante de equilibrio en función de las presiones parciales como
|
|
RELACIÓN ENTRE Kc Y
Kp
|
|
Para una reacción química cualquiera, caracterizada por la ecuación
el valor de Kp corresponde a la cantidad
Y la relación general entre las constantes Kp y Kc resulta:
o bien,
donde Δn es la variación del número de moles al producirse la
reacción: Δn = c + d − (a + b)
De esta relación se deduce que, para una reacción química determinada, el valor de
Kp es, fijada la temperatura, una cantidad constante e independiente de las cantidades iniciales de reactivos y productos, lo mismo que ocurre con
Kc. Por lo tanto, para una reacción química dada, el valor de las constantes
Kp y Kc solo dependen de la temperatura.
En realidad, los valores de Kp y Kc son función exclusiva de la temperatura solo en caso de que todos los gases de la mezcla reaccionante se comporten como gases ideales.
Aunque las constantes de equilibrio no son, en general, adimensionales, frecuentemente se escriben sin unidades. En estos casos no debe olvidarse que el valor de
Kc corresponde al cociente de las concentraciones en el equilibrio, expresadas en moles/l, y que el valor de
Kp es el cociente de las presiones parciales en el equilibrio, expresadas en atmósferas. Así la información
significa
|
|
TIPOS DE EQUILIBRIO Y SUS RESPECTIVAS CONSTANTES
|
|
En las reacciones iónicas en disolución acuosa la concentración del agua es prácticamente constante, por lo que es costumbre incluirla en el valor de la constante de equilibrio.
Ka se denomina constante de acidez.
En las reacciones heterogéneas las concentraciones de todas las fases sólidas y líquidas puras son constantes, por lo que también se incluyen en el valor de la constante de equilibrio.
Las reacciones entre metales y ácidos o sales en disolución y los procesos de disolución de sales prácticamente insolubles son ejemplos de equilibrios iónicos heterogéneos.
Para reacciones de oxidación-reducción, como por ejemplo:
las concentraciones [Zn(s)] y [Cu(s)] se incluyen en la constante.
La constante de equilibrio de un proceso de disolución como:
Esta constante se denomina producto de solubilidad. La concentración
[AgCl(s)] por ser constante se engloba en Ks.
Para equilibrios de autoionización de un disolvente, como el agua:
Se denomina a esta constante producto iónico del agua, en la que se engloba a
[H2O(l)] por ser constante.
|
|
INTERPRETACIÓN DEL VALOR DE LA CONSTANTE DE EQUILIBRIO
|
|
El valor de la constante de equilibrio nos dice en qué grado los reactivos se transforman en productos una vez alcanzado el equilibrio.
Para:
El numerador es mucho mayor que el denominador, por lo tanto el equilibrio se encuentra muy desplazado hacia la formación de
CO2.
Un valor muy grande de K indica que la reacción directa progresa hasta que prácticamente se agota alguno de los reactivos.
Para:
El numerador será muy pequeño con respeto al denominador, por lo tanto el equilibrio apenas se desplaza hacia la formación de NO. La cantidad del mismo en el equilibrio será insignificante comparada con las cantidades de
N2 y O2.
Un valor muy pequeño de K indica que la cantidad de productos formados, una vez alcanzado el equilibrio, es pequeñísima.
Para:
Ahora el cociente de concentraciones es próximo a la unidad, por lo que el numerador y el denominador deben ser de un mismo orden de magnitud, en el equilibrio las concentraciones de
N2O4 y NO2 deben ser similares.
Un valor de K próximo a la unidad indica que, en el equilibrio, las concentraciones de los reactivos son del mismo orden que las de los productos.
Aquí tienes un conjunto de ejemplos para practicar.
Fíjate que hay dos grupos importantes de ejercicios, unos en los que nos
dan las concentraciones en el equilibrio y nos piden la constante y otros
en los que nos dan la constante y no piden las concentraciones en el
equilibrio.
Observa en este ejemplo como la expresión de la constante depende de
como esté escrita la ecuación química de la reacción:
EJEMPLO 1: Para la reacción en fase gas H2(g) + I2(g)
⇄ 2 HI(g), las concentraciones encontradas a 490ºC una vez alcanzado el equilibrio son, en mol/l,
[H2]=8,62·10−4 [I2]=2,63·10−3 [HI]=1,02·10−2
a) Calcula Kc para el equilibrio tal como está escrito.
b) ¿Cuál será el valor de Kc para la reacción 2HI ⇄ H2 +
I2?
SOLUCIÓN
Si me dan la constante puedo calcular las concentraciones en el
equilibrio. Planteo una tabla de valores debajo de la ecuación química y
escribo las concentraciones en el equilibrio, en función de una
incógnita:
EJEMPLO 2: Un mol de H2 y un mol de I2 se calientan a 490ºC en un volumen de 1,00 l. ¿Cuáles serán las concentraciones de
H2, I2 y HI en el equilibrio? (A esa temperatura Kc = 45,9 para
H2(g) + I2(g) ⇄ 2 HI(g))
SOLUCIÓN
Cuando a partir de una sustancia se obtengan dos nos pueden pedir el
grado de disociación, que se define como el cociente entre la cantidad
disociada y la cantidad inicial del reactivo. Se puede dar en tanto por
uno, o en tanto por cien.
En tanto por uno:
En tanto por cien:
Estas cantidades inicial y disociada las obtenemos de la tabla de
valores.
EJEMPLO 3: Se calientan 0,500 moles de HI a 490ºC en un recipiente de volumen 4,5 l ¿Cuál será el grado de disociación en el equilibrio?
( A esta temperatura Kc para la reacción 2HI(g) ⇄
H2(g) + I2(g) es 2,18·10−2)
SOLUCIÓN
Cuando nos piden Kp podemos trabajar con presiones parciales.
También puedo trabajar con concentraciones, calcular Kc y a partir de Kc
calcular Kp:
EJEMPLO 4: Se introducen en un recipiente de 5,00L 2 mol de
PCl5(g). A 250ºC se establece el equilibrio: PCl5(g)
⇄ PCl3(g) + Cl2(g) encontrándose que se forman
0,375 mol de Cl2(g). Calcula la constante Kp a
dicha temperatura.
SOLUCIÓN
Dependiendo de los datos que nos dan podemos plantear la tabla de
valores con: concentraciones, presiones parciales o también moles, pues
son cantidades que están relacionadas.
EJEMPLO 5: En un recipiente introducimos Br2, a una
presión parcial de 1,00 atm e H2, a una presión de 1,50 atm.
A cierta temperatura se alcanza el equilibrio cuando Kp es
0,50. Calcula las presiones parciales de las tres sustancias presentes
en el equilibrio:
Br2(g) + H2(g) ⇄ 2 HBr(g)
SOLUCIÓN
No tengas miedo de plantear incógnitas cuando no tengas datos, ya te
darán la oportunidad de calcularlas.
EJEMPLO 6: Se coloca cierta cantidad de SO3 en un matraz de 0,80L. A cierta temperatura se establece el equilibrio de disociación: 2
SO3(g) ⇄ 2 SO2(g) + O2(g) Se comprueba que en el equilibrio hay 2 moles de
O2. Si Kc es 0,22 a la temperatura de la experiencia, calcula las concentraciones de las sustancias presentes en el equilibrio y el grado de disociación del
SO3.
SOLUCIÓN
Para calcular la incógnita, a veces nos dan datos de una sustancia en
el equilibrio, pero también nos pueden dar datos del grado de
disociación:
EJEMPLO 7: En un recipiente de 0,50L se colocan 0,05 moles de
PCl5(g) y se establece el equilibrio: PCl5(g) ⇄ PCl3(g) + Cl2(g) a cierta temperatura. Calcula la
constante de equilibrio sabiendo que el
PCl5(g) está disociado un 62,5%.
SOLUCIÓN
EJERCICIOS
PARA PRACTICAR
|
|
LA ENERGÍA LIBRE NORMAL DE UNA REACCIÓN Y LA CONSTANTE DE EQUILIBRIO
|
|
Ya vimos anteriormente que una reacción transcurre espontáneamente
cuando la ΔG<0, pero si ΔG>0 la que transcurre espontáneamente
es la conversión de productos en reactivos. Pero en las reacciones
reversibles que alcanzan una situación de equilibrio se dan ambas
situaciones, la conversión de reactivos a productos y la conversión de
productos a reactivos. Parece una contradicción. Pero no lo es. Cuando
decimos que una reacción transcurre espontáneamente no queremos decir
que lo hará hasta la conversión completa en productos, sino que lo hará
hasta alcanzar un mínimo de energía libre. En los equilibrios, entre la
energía libre de reactivos y productos se alcanza un mínimo de energía
libre que ocurre en la situación de equilibrio. En el equilibrio la ΔG=0.
¿Qué relación habrá entre la ΔG y la constante de equilibrio.
La energía libre estándar de una reacción ΔGº corresponde a la situación en la que la concentración de todos los reactivos y productos es de 1 mol/l (o 1 atm de presión parcial si se trata de gases), es decir,
el cociente de reacción Q vale 1. Pero en el equilibrio la concentración de reactivos y productos es tal que
Q=K y ΔG=0.
Si ΔG=ΔGo
Q=1
Si ΔG=0
Q=K (situación de equilibrio)
Si ΔGo está muy próxima a cero quiere decir que la situación en la que todos los reactivos y productos tienen una concentración igual a 1 mol/l está muy próxima al equilibrio, y la constante de equilibrio tendrá un valor muy próximo a 1.
Si ΔGo es grande en valor absoluto significa que dicha situación está muy lejos del equilibrio. Se presentan dos casos: Una ΔGo<0 significa que para llegar al equilibrio una parte de los reactivos tendrá que convertirse en productos (K>1). Una ΔGo>0 significa que para llegar al equilibrio una parte de los productos tendrá que convertirse en reactivos (K<1).
Si ΔGo<0 K>1
Si ΔGo=0 K=1
Si ΔGo>0 K<1
Por lo tanto ΔGo mide lo lejos que está el sistema reaccionante, en condiciones
estándar, de la situación de equilibrio. Esto nos permite suponer que existe una relación cuantitativa entre la variación de energía libre
estándar de una reacción ΔGo y su constante de equilibrio K.
Esta relación, que no deduciremos, es la siguiente:
Donde ΔGo es la variación de energía libre normal para la reacción, R la constante de los gases R=8,314 J/K.mol, T la temperatura absoluta y K la constante de equilibrio normal o termodinámica, que es adimensional, y para reacciones entre gases coincide con
Kp si las presiones parciales se expresan en atmósferas, y para reacciones en disolución coincide con
Kc si las concentraciones se expresan en mol/l.
Esta ecuación nos permite calcular ΔGo a partir de la medida experimental de K, o calcular K a partir de la determinación de ΔGo. También la podemos escribir cómo:
Cuando se representa la energía libre de Gibbs de una mezcla reaccionante en función del grado de conversión de reactivos en productos, se obtienen curvas como las siguientes:
La ecuación anterior establece que cuanto más negativo sea el valor de ΔG para una reacción química dada, mayor será su constante de equilibrio.
Cuando la energía libre de Gibbs de los reactivos es mucho mayor que
la de los productos, el valor mínimo de G se sitúa muy cerca de la conversión completa; por lo tanto la reacción se encuentra muy desplazada hacia los productos, y la constante de equilibrio será muy grande.
Por el contrario, cuando la energía libre de Gibbs de los reactivos es mucho menor que la de los productos, el valor mínimo de G corresponde a una conversión de aquellos en estos muy pequeña. La reacción se encuentra muy desplazada hacia los reactivos, y la constante de equilibrio será muy pequeña.
Cuando las energías libres de Gibbs de los reactivos y productos son comparables, el valor mínimo de G corresponde a valores intermedios del grado de conversión. Las cantidades de los reactivos y de los productos, en el equilibrio serán muy similares, de suerte que el valor de la constante de equilibrio es del orden de la unidad.
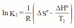
Puede interesarnos conocer K a una temperatura distinta de la normal de 298K. Como
tenemos que suponer que ΔHo y ΔSo no varían apreciablemente con la temperatura.
Representando ln K frente a 1/T observamos que:
si la reacción es exotérmica (ΔHo<0) la pendiente es positiva, ln K aumenta con 1/T, es decir,
que K aumenta cuando disminuye la temperatura o que K disminuye cuando
aumenta la temperatura. Por el contrario, si la reacción es endotérmica
(ΔHo>0) la pendiente es negativa, ln K disminuye con 1/T, es decir,
que K disminuye cuando disminuye la temperatura o que K aumenta cuando
aumenta la temperatura.
También podemos calcular la constante a una temperatura dada conociendo K a una temperatura determinada. Como antes si ΔHo
y ΔSo no varían apreciablemente con la temperatura, y que
K1 sea la constante a la temperatura T1 y que K2 sea la constante a la temperatura
T2 podemos escribir:
Restando ambas ecuaciones
ecuación que se conoce como ecuación de Van't Hoff.
|
|
PRINCIPIO DE LE CHÂTELIER
|
|
El conocimiento de cómo afectan los cambios de las variables
concentración, presión y temperatura a una reacción en el equilibrio es de una gran importancia si deseamos aumentar el rendimiento con el que se obtiene un determinado producto.
Para predecir cualitativamente el efecto del cambio de tales condiciones en el equilibrio haremos uso del
Principio de Le Châtelier, enunciado por Henry Le Châtelier en
1884:
|
|
Toda modificación de un factor como la temperatura, presión o concentración, en un equilibrio químico provoca un desplazamiento del equilibrio en un sentido que tiende a oponerse a la variación del factor considerado, contrarrestando dicha modificación. |
|
Vamos a estudiar entonces la respuesta de un sistema en el equilibrio a las variaciones de la concentración, de la presión y de la temperatura, y dar enunciados, menos generales pero más prácticos, del principio de Le
Châtelier para cada uno de estos casos.
a) Variación de la concentración.
Si añadimos H2 en el equilibrio, por ejemplo
duplicamos su concentración, el cociente de
reacción Q será menor que el valor de la constante de equilibrio, Q<Kc,
el sistema evolucionará para aumentar el cociente de reacción hasta que
iguale a la constante de equilibrio, entonces el sistema evolucionará produciendo más HI a partir de
H2 y I2 para restablecer otra vez el equilibrio.
Si añadimos HI en el equilibrio, por ejemplo duplicamos
su concentración, Q>Kc, el sistema evolucionará para disminuir el
cociente de reacción hasta que iguale a la constante de equilibrio,
entonces el sistema evolucionará produciendo
H2 y I2 a partir de HI.
El principio de Le Châtelier puede enunciarse para el caso de variaciones en la concentración de la siguiente manera:
|
|
Si a un sistema en equilibrio se le añade un reactivo o producto, la reacción que se produce es la que
consume la sustancia añadida. Si, por el contrario, se elimina un reactivo o producto la reacción que se produce es la que
lo repone. |
|
Así, por ejemplo, la producción industrial de CaO se basa en la rápida eliminación del
CO2 del sistema, inyectando aire en el horno mediante un ventilador, de
forma que el
CO2 no pueda alcanzar nunca la presión de equilibrio.
El rendimiento de la reacción
puede aumentarse si se separa el amoníaco de la mezcla, por ejemplo,
condensando la mezcla para licuar el amoníaco.
b) Variación de la presión.
En las reacciones en las que intervengan gases el efecto de la variación de la presión supone un efecto contrario en la variación del volumen, y la variación del volumen depende de la variación en el número de moles de las sustancias gaseosas que intervienen.
Para la reacción de formación del amoniaco:
Si reducimos el volumen del sistema, como por ejemplo a la mitad, la presión del sistema aumenta, pero no al doble, como aumentaría si no hubiera existido un equilibrio químico, debido a que el equilibrio se desplaza hacia la formación de amoníaco.
Para que el cociente de presiones aumente debe aumentar la
presión de amoníaco y disminuir las presiones de nitrógeno e
hidrógeno, es decir, se debe desplazar el equilibrio hacia donde menos
moles de gas tengamos.
El rendimiento en
NH3 aumenta por lo tanto al aumentar la presión a la que se lleva a cabo a reacción. De ahí que ésta se realice en la práctica a presiones comprendidas entre
200 y 300 atmósferas.
Si aumentamos el volumen del sistema, por ejemplo al
doble, la presión del sistema se reduce, pero no a la mitad, como se
reduciría de no haber equilibrio, dado que el equilibrio se desplaza
hacia la formación de nitrógeno e hidrógeno.
Para que el cociente de presiones disminuya deben aumentar
las presiones de nitrógeno e hidrógeno y disminuir la presión de
amoníaco, es decir, se debe desplazar el equilibrio hacia donde más
moles de gas tengamos.
El principio de Le Châtelier puede enunciarse, para el caso de variaciones de presión en sistemas químicos en que intervienen gases, de la siguiente manera:
|
|
Si se tiene un sistema en equilibrio y se aumenta la presión,
por variación del volumen, el sistema reacciona en el sentido en que disminuya el número de moles de sustancias en estado gaseoso. Si se reduce la presión,
por variación del volumen, el sistema reacciona en el sentido en que
aumente el número de moles de sustancias en estado gaseoso. |
|
La presión total también puede aumentar por adición de
un gas inerte a la mezcla reaccionante. En este caso el equilibrio no se
altera ya que las presiones
parciales de los gases no varían, y por tanto tampoco lo hace la
constante de equilibrio. Sólo se tendrá en cuenta el aumento de presión si
es por el aumento de las presiones parciales de los gases, si es
producido por añadir otros gases que no participan en la reacción el
equilibrio no se altera, ya que no participan en la constante de
equilibrio.
c) Variación de la temperatura.
La reacción:
es exotérmica. Si aumentamos la temperatura, el equilibrio se desplaza hacia
los reactivos, descomponiendo amoníaco, porque éste es el proceso que supone absorción de calor.
El sentido del desplazamiento de un equilibrio por variación de la temperatura depende pues del signo de la variación de entalpía ΔH de la reacción. Recuerda
la gráfica que vimos anteriormente.
El principio de Le Châtelier puede enunciarse para el caso de variación de la temperatura de la siguiente manera:
|
|
Si aumentamos la temperatura de un sistema que está en equilibrio, el sistema se desplaza en el sentido que suponga una absorción de calor. Si se disminuye la temperatura, la reacción que se produce es la que libera energía. |
|
El rendimiento en amoníaco aumenta, por lo tanto, al disminuir la temperatura. Sin embargo, si se disminuye la temperatura la velocidad
de la reacción se hace muy lenta.
Debemos encontrar, en este caso, una temperatura de compromiso,
suficientemente alta, para que la reacción transcurra a una velocidad
aceptable, y suficientemente baja, para que el equilibrio se desplace
hacia los productos. Es por ello que hace falta la utilización de un catalizador, que incremente la velocidad y permita realizar la reacción a
esta temperatura de compromiso. En la práctica,
esta reacción, que en la industria se conoce como proceso Haber-Bosch, se lleva a cabo a unos 500ºC, empleando como catalizador hierro u óxido de hierro. A esta temperatura y 700 atm de presión se obtiene un rendimiento
entre el 10 y 20%.
La presencia de un catalizador no aumenta el rendimiento del producto deseado, sino que tan sólo reduce el tiempo necesario para que se establezca el equilibrio; es decir, consigue el mismo rendimiento pero en un tiempo más corto.
EJEMPLO 8: En el equilibrio: N2(g) + 3H2(g)
⇄
2NH3(g) ΔH= – 46 kJ·mol–1, razona qué le acontece al equilibrio:
1. si se añade hidrógeno.
2. si se retira amoníaco
3. si aumenta la temperatura.
4. si aumenta la presión por disminución del volumen.
SOLUCIÓN
Diagrama del proceso de Haber-Bosch de síntesis del amoníaco. (Fuente: Wikipedia)
Vídeo del proceso de Haber-Bosch de síntesis del amoníaco.
EJERCICIOS
PARA PRACTICAR
|
|
SOLUBILIDAD DE UNA SUSTANCIA
|
|
Una gran parte de los análisis químicos, tanto cualitativos
como cuantitativos se realizan por precipitación de sales poco solubles en un determinado disolvente, generalmente agua. El proceso de solubilidad es de los de mayor importancia en química, ya que es la base de innumerables procesos industriales y de laboratorio para preparar, separar y purificar productos químicos, y es el factor que controla la diversidad de fenómenos geológicos y demás fenómenos naturales.
La clave para una buena separación es el control de las condiciones, de suerte que en el equilibrio aparezca la mayor cantidad posible de uno de los dos compuestos que se quiere separar, bien en la fase sólida o bien en la fase líquida.
|
|
La solubilidad mide la cantidad máxima de soluto capaz de disolverse en una cantidad definida de
disolución, a una temperatura determinada, y formar un sistema estable que llamaremos disolución saturada. |
|
Por lo tanto se dice que una disolución está saturada cuando no es capaz de disolver más soluto a una determinada temperatura.
La solubilidad, como concentración que es la expresaremos en g/l o en moles/l.
Como por ejemplo, la solubilidad del NaCl en agua a 0ºC es 35,7g por
100cm3 de disolución acuosa; esto es, la máxima cantidad de NaCl que podemos disolver en
100cm3 de disolución acuosa, formando una disolución estable es 35,7g.
Cuando la cantidad de soluto disuelto es inferior a su solubilidad, la disolución se llama
insaturada. En algunos casos es posible preparar disoluciones que contengan una cantidad de soluto superior a su solubilidad. Tales disoluciones, llamadas
sobresaturadas, son inestables, pues con el tiempo el soluto va precipitando hasta transformar la disolución en una saturada.
La solubilidad en agua varía mucho de un soluto la otro. Así, mientras que sustancias como el yodo o el sulfuro de mercurio(II) son casi insolubles, otras como el cloruro de calcio tienen una solubilidad muy alta, pues se pueden disolver hasta 74,5g de
CaCl2 en 100cm3 de disolución acuosa a 20ºC.
Por muy insoluble que sea una sustancia, su solubilidad nunca es exactamente cero.
El proceso de disolución es consecuencia de la interacción entre las moléculas del disolvente y las moléculas del soluto. En general, las sustancias polares se disuelven en disolventes polares, mientras que las sustancias apolares lo hacen en disolventes apolares.
Así, el hecho de que los sólidos iónicos sean solubles en una sustancia típicamente polar como el agua, se justifica por la atracción entre los
extremos positivos de los dipolos de la molécula de agua y los iones negativos de la red cristalina iónica, y por la atracción entre los
extremos negativos de los dipolos del agua y los iones positivos del sólido.
Ambas atracciones pueden resultar suficientemente fuertes como para desmoronar el cristal iónico.
|
|
FACTORES QUE DETERMINAN LA SOLUBILIDAD
|
|
Según estudiamos en termoquímica, un proceso transcurre espontáneamente a una temperatura y presión fijas si lleva consigo una disminución de la energía libre de Gibbs del sistema.
El proceso de disolución de un sólido iónico supone el desmoronamiento de la ordenada red cristalina y, en consecuencia, entraña un aumento del desorden. Por lo tanto, la disolución de un sólido va acompañada de un aumento de entropía: ΔS>0. Por ello el sumando
–TΔS es negativo y contribuye a que el proceso de disolución sea espontáneo.
Por otra parte, la energía que se debe aportar para vencer las fuerzas que mantienen la cohesión de una red iónica supera, en general, a la energía que se desprende como consecuencia de la interacción entre los
iones del sólido y las moléculas del disolvente. Como resultado, la disolución de un sólido iónico es, generalmente, un proceso endotérmico. El termino ΔH es, pues, positivo y se opone a la espontaneidad del proceso de disolución.
Del balance neto entre los términos entrópico y entálpico dependerá que el proceso de disolución de un sólido sea favorable o no.
Recuerda que la energía de red regulaba la estabilidad
del cristal iónico. Esta dependía directamente de la carga de los iones
y era inversamente proporcional a la distancia entre los mismos. Así, cuanto mayor es la carga de los iones y menor es su tamaño, mayor es la cohesión del cristal iónico y, consecuentemente, más energía hay que aportar para romperlo. Por ello, el valor de ΔH es tanto más positivo cuanto mayor es la densidad de carga de los
iones. En conclusión, los compuestos con iones pequeños y carga grande, como el
Al2O3, son muy insolubles.
Puesto que la disolución de un sólido iónico es un proceso generalmente endotérmico, de acuerdo con el principio de Le
Châtelier, se verá favorecido por una elevación de la temperatura.
Resumiendo, la solubilidad de un sólido iónico aumenta:
- al aumentar el valor de ΔS correspondiente al proceso de disolución.
- al aumentar la temperatura, en la mayoría de los casos.
|
Solubilidad de sales comunes en agua a temperatura
ambiente |
| ANIONES |
CATIONES |
SOLUBILIDAD |
| Todos |
Li+, Na+,
K+, Rb+, Cs+ |
Solubles |
| Todos |
NH4+ |
Solubles |
| NO3− |
Todos |
Solubles |
| CH3COO− |
Todos |
Solubles |
| Cl−, Br−, I− |
Ag+, Pb2+,
Hg22+, Cu+ |
INSOLUBLES |
| Todos los demás |
Solubles |
| OH− |
alcalinos, NH4+,
Sr2+, Ba2+, Ra2+, Tl2+ |
Solubles |
| Todos los demás |
INSOLUBLES |
| SO42− |
Ca2+, Sr2+,
Ba2+, Ra2+, Pb2+ |
INSOLUBLES |
| Todos los demás |
Solubles |
| S2− |
alcalinos, NH4+, alcalinotérreos |
Solubles |
| Todos los demás |
INSOLUBLES |
| CO32− |
alcalinos, NH4+ |
Solubles |
| Todos los demás |
INSOLUBLES |
| PO43− |
alcalinos, NH4+ |
Solubles |
| Todos los demás |
INSOLUBLES |
El límite entre sustancia soluble e insoluble es arbitrario, aunque generalmente se cataloga como insoluble un compuesto cuando su solubilidad es inferior a 0,1 mol/l. Este criterio fue el que se empleó para confeccionar la tabla anterior. Por lo tanto, las sales que aparecen en ella como solubles tienen una solubilidad superior a 0,1 mol/l.
Se observa que todas las sales de cationes monovalentes, esto es, las de los metales alcalinos y el amonio, son solubles, mientras que las sales de cationes pequeños y con carga múltiple, y por lo tanto de alta densidad de carga, son insolubles. También se puede observar que, con pocas excepciones, las sales de los aniones polivalentes
CO32−, S2−, PO43− son insolubles, mientras que la mayoría de las sales de aniones monovalentes
Cl−, Br−, I− y NO3− son solubles.
REPASO
DE DISOCIACIÓN DE SALES
|
|
PRODUCTO DE SOLUBILIDAD: Ks
|
|
Por muy insoluble que sea una sal iónica, al añadirla al agua siempre hay una cantidad que acaba disolviéndose. Generalmente, los sólidos iónicos se comportan como electrólitos fuertes de forma que la fracción disuelta se encuentra totalmente disociada.
Supongamos, por ejemplo, que ponemos una cucharilla de cromato de estroncio en un poco de agua. A medida que transcurre el tiempo, el agua, que inicialmente era transparente, va tomando color amarillo, haciéndose cada vez menos transparente, hasta alcanzar un color estable. La explicación es fácil: según pasa el tiempo, el
SrCrO4 se va disolviendo. La parte disuelta se disocia dando iones
Sr2+(aq) y CrO42−(aq). Estos últimos absorben luz visible de λ=370nm, y dan a la disolución un color amarillo. Cuando la disolución se satura, no se disuelve más
SrCrO4, de forma que la concentración de CrO42−(aq) deja de crecer y el color amarillo alcanza un tono constante.
La ecuación química del equilibrio resultante es
La ley del equilibrio químico establece que
Es un equilibrio heterogéneo, pues en el fondo del recipiente hay
SrCrO4 puro, un sólido que constituye una fase distinta de la disolución. Como ya se ha dicho, la concentración de un sólido puro permanece constante y podemos incluirla en el valor de K, obteniendo así una nueva constante:
Esta nueva constante se denomina producto de
solubilidad, y se representa por Kps o Ks.
En general para una sal de fórmula AnBm que se disuelva según el equilibrio
Su producto de solubilidad corresponde a la expresión
Aunque no se especifique se entiende que las concentraciones en la expresión anterior son concentraciones en el equilibrio.
|
|
El producto de solubilidad de una sal es igual al producto de las concentraciones de los iones que origina, determinadas en el equilibrio, y elevada cada una de ellas a una potencia igual a su coeficiente en la ecuación de disolución. |
|
Como todas las constantes de equilibrio, Ks, depende de la temperatura. Su valor se tabula, en general, para una temperatura de 25ºC. Puedes
encontrar una tabla de constantes producto de solubilidad en las TABLAS
DE QUÍMICA.
Para que exista equilibrio entre una sustancia sólida y sus iones en disolución, esta debe estar saturada y en contacto con el sólido sin disolver.
Como ocurre con otras constantes de equilibrio, en el valor del producto de solubilidad se omiten frecuentemente las unidades. Sin embargo, todas las concentraciones que aparecen en la expresión de
Ks se expresan en mol/l.
EJEMPLO 9: Escribe la expresión del producto de solubilidad, Ks, para los siguientes compuestos:
BaSO4, CaF2, Ag2CrO4, Fe(OH)3,
PbCrO4.
SOLUCIÓN
EJERCICIO
PARA PRACTICAR: 651
|
|
RELACIÓN ENTRE LA SOLUBILIDAD Y EL Ks
|
|
Evidentemente, existe una relación entre la solubilidad de una sal y el valor de su producto de solubilidad. Ya se sabe que cuanto menor es la constante de equilibrio de una reacción química, más desplazada se encontrará hacia izquierda. En particular, un equilibrio de solubilidad está tanto más desplazado hacia forma sólida cuanto menor es el valor de
Ks.
Cuanto más desplazado hacia izquierda se encuentre un equilibrio
menor será la cantidad de AnBm que se disuelve, o dicho de otra forma:
Una sal será tanto más insoluble cuanto menor sea su producto de
solubilidad.
Conocida la solubilidad de un compuesto iónico en agua, se puede calcular el valor de su producto de solubilidad, y viceversa.
Por ejemplo, el equilibrio de solubilidad de PbF2 es
y la expresión de su producto de solubilidad es
Llamando s a la solubilidad expresada en mol/l del PbF2 en agua pura, y teniendo en cuenta la estequiometría de la ionización, podemos escribir:
Se observa que inicialmente no hay ningún ión Pb2+ ni
F−, ya que el disolvente es agua pura. Todos los iones plomo(II) y fluoruro proceden de la disociación del
PbF2. Sustituyendo los valores de la tabla en la expresión de
Ks,
En un litro de agua pura se disuelven 2,15·10−3 moles de
PbF2. Luego, su producto de solubilidad es
En general, siendo s la solubilidad molar en agua pura de la sal
AnBm, y teniendo en cuenta la estequiometría del proceso de ionización, se obtiene la siguiente tabla:
Sustituyendo los valores de las concentraciones que en ella aparecen en la expresión del producto de solubilidad:
También, conocido el Ks podemos calcular la solubilidad:
EJEMPLO 10: La solubilidad del CaSO4 es 2,09 g/l, a 30oC. Calcula las concentraciones iónicas y el valor de
Ks.
SOLUCIÓN
EJEMPLO 11: Al disolver en un litro de agua 2,0·10−4 moles de
CaF2 se produce una disolución saturada ¿Cuál es el Ks para este compuesto?
SOLUCIÓN
EJEMPLO 12: El Ks del PbCl2 es 1,7·10−5. ¿cuál es su solubilidad en g/l?
SOLUCIÓN
EJERCICIOS
PARA PRACTICAR
|
|
EFECTO DE IÓN COMÚN
|
|
Es importante observar que el valor de Ks no depende de la presencia de otras sustancias en disolución. Como toda constante de equilibrio,
Ks, depende exclusivamente de la temperatura, por el contrario, la solubilidad de una sal puede cambiar si añadimos a la disolución otras sustancias que aporten iones comunes.
Supóngase que una vez establecido el equilibrio
siguiente:
añadimos más iones F− disolviendo, por ejemplo, algo de NaF. El incremento originado en la concentración de
F− perturbará el equilibrio inicial. El sistema, de acuerdo con el principio de Le Chatelier, se desplazará hacia la izquierda, consumiendo parte de los iones
F− adicionales para contrarrestar parcialmente el efecto perturbador. Como resultado precipitará algo de
PbF2. En consecuencia, cuando se establezca un nuevo equilibrio el
PbF2 disuelto será menor que el que había en el equilibrio inicial. Resumiendo, la solubilidad del
PbF2 disminuye al adicionarle NaF.
En este ejemplo, los iones F− presentes en la disolución proceden de dos fuentes, el
PbF2 inicial y el NaF añadido posteriormente. Puesto que el ion
F− es un ion común a ambas sales recibe el nombre de ion común.
El descenso de la solubilidad de una sal ocasionado por la adición de un ion común se denomina efecto de ion común.
EJEMPLO 13: Calcula la solubilidad del PbF2 en agua pura,
y en una disolución 0,1M de NaF. Dato: Ks = 3,9·10−8.
SOLUCIÓN
EJERCICIOS
PARA PRACTICAR
|
|
CONDICIONES PARA LA PRECIPITACIÓN DE SALES
|
|
El valor del producto de solubilidad de una sustancia puede utilizarse para predecir si se formará o no un precipitado de dicha sustancia al mezclar dos disoluciones.
Por ejemplo, al poner PbI2 en agua pura, la sal se disuelve hasta que el producto
[Pb2+ ]·[I−]2 tenga un valor exactamente igual al de
Ks. Entonces la disolución está saturada, y por ello las concentraciones de los iones
I− y Pb2+ permanecen constantes y en equilibrio con el
PbI2 sólido. El proceso ocurre según la ecuación
Si la cantidad de PbI2 es suficientemente pequeña la sal se disuelve por completo, sin que el producto
[Pb2+]·[I−]2 llegue a alcanzar el valor de
Ks. La disolución resultante es insaturada y admite más sal en su seno. El equilibrio anterior no llega a establecerse, ya que no queda más
PbI2 en forma sólida. El producto [Pb2+]·[I−]2 se denomina producto iónico del
PbI2.
Para una sal genérica AnBm, con un equilibrio de solubilidad como
su producto iónico corresponde a la expresión:
Para establecer una relación entre el producto iónico y la formación de un precipitado se puede proceder, por ejemplo, mezclando dos disoluciones: una de NaI y otra de
Pb(NO3)2. Ambas sales son muy solubles y, por lo tanto, se disocian totalmente dando iones,
I−, Na+ , Pb2+ y NO3−.
La mezcla resultante contiene los cuatro tipos de iones y, según su concentración, se pueden dar los siguientes casos:
- Las concentraciones de I− y Pb2+ en la mezcla resultante son lo suficientemente pequeñas como para que el producto iónico del
PbI2 sea inferior al valor de Ks
No se formará ningún precipitado, ya que la disolución es insaturada.
- El producto iónico es exactamente igual al valor de Ks
La disolución resultante está saturada, a punto de precipitar, y no admite más
PbI2 disuelto.
- El producto iónico es mayor que Ks
el sistema no está en equilibrio y se produce la precipitación según la ecuación
de forma que las concentraciones de I− y Pb2+ disminuyen hasta que el producto iónico se ajusta al valor de
Ks.
Resumiendo:
- Si Q < Ks (disolución insaturada) no se forma precipitado.
- Si Q = Ks (disolución saturada) no se forma precipitado.
- Si Q > Ks (disolución sobresaturada) se forma precipitado.
Se debe recordar que el producto iónico no siempre es igual al valor del producto de solubilidad, pues el producto iónico de cualquier disolución es el producto de las concentraciones de los iones, elevadas a la potencia correspondiente, mientras que en la expresión de
Ks sólo deben aparecer concentraciones correspondientes a disoluciones saturadas, esto es, disoluciones en las que existe equilibrio entre los iones disueltos y la sal sin disolver.
EJEMPLO 14: Una disolución es 1,0·10−5M en
Pb(NO3)2. Se añade KI hasta que [I−]=1,0·10−2M. ¿Precipitará el
PbI2? (el Ks para el PbI2 es 1,4·10−8)
SOLUCIÓN
EJEMPLO 15: Se disuelven en un litro de agua 1,0·10−3 moles de
SrCl2 y 0,050 moles de K2CO3. ¿Se formará algún precipitado?
SOLUCIÓN
EJEMPLO 16: Una disolución contiene iones Cl− y iones
CrO42−, ambos en una concentración de 0,050M. Se añade lentamente una disolución de
AgNO3.
a) ¿Qué precipita primero, AgCl o Ag2CrO4?
b) ¿Cuáles serán las concentraciones de Ag+, Cl− y
CrO42− en el momento en que AgCl y Ag2CrO4 comiencen a precipitar conjuntamente?
Dato: Ks(AgCl) = 1,6·10−10
Ks(Ag2CrO4) = 2,5·10−12
SOLUCIÓN
EJERCICIOS
PARA PRACTICAR
PRÁCTICA: Observa la siguiente práctica sobre formación de
precipitados, y sobre disolución de los mismos.
EJERCICIOS
PARA PRACTICAR
|
|
DISOLUCIÓN DE PRECIPITADOS
|
|
Hay muchas ocasiones en las que un químico está interesado en disolver un precipitado.
Ya vimos que, en general, la solubilidad de un sólido iónico aumenta con la temperatura. Por lo mismo, a veces, cuando un compuesto no es muy soluble se puede disolver un precipitado simplemente elevando la temperatura. Por ejemplo, si se añaden 10g de
PbCl2 a un litro de agua a 25ºC, sólo se disuelven 4,5g. Los 5,5 restantes se depositan en el fondo. Pero si calentamos hasta 100ºC todo el
PbCl2 se disuelve, ya que a esta temperatura la solubilidad es 13,9 g/l.
Sin embargo la mayoría de las veces no es suficiente elevar la temperatura para lograr disolver un precipitado. Además, las disoluciones acuosas no pueden calentarse más allá de 100ºC, a presión normal, ya que a esta temperatura comienza a hervir.
Afortunadamente existen otros métodos más eficaces para conseguir la disolución de un precipitado. Tales métodos consisten en retirar, por medio de una reacción química, alguno de los iones de la sal presentes en el equilibrio de solubilidad.
Considérese el equilibrio de solubilidad
Si de alguna manera se consigue disminuir la cantidad de iones
Ca2+ o CO32−, el equilibrio anterior se desplaza hacia derecha, de acuerdo con el principio de Le Chatelier, y por lo tanto se disuelve más
CaCO3.
Al retirar iones Ca2+ o CO32− disminuye el producto iónico del
CaCO3, haciéndose inferior a su Ks. Para recuperar el equilibrio el sistema se desplaza hacia la derecha
hasta que, finalmente, el producto iónico sea de nuevo igual al producto de solubilidad,
Ks.
Para disminuir las concentraciones de algunos de los iones de una sal insoluble se pueden emplear varios métodos: reacciones ácido-base, reacciones redox y reacciones de formación de complejos.
a) Reacciones ácido-base.
Hay sales poco solubles en las que el anión es básico, como por ejemplo, las sales de ácidos débiles. Éstas se pueden disolver añadiendo un ácido fuerte. Un ejemplo típico lo constituye el carbonato de calcio,
Al añadir un ácido fuerte, parte de los iones CO32− se transforman en
HCO3−. Como consecuencia el sistema se desplaza hacia la derecha dando más iones carbonato y por lo tanto disolviendo más
CaCO3.
Virtualmente todos los carbonatos, hidróxidos, fosfatos y muchos sulfuros que son poco solubles en agua pueden disolverse en ácidos fuertes. Como por ejemplo, los equilibrios
pueden desplazarse hacia la derecha por formación de H2S, H2O
y HPO42−.
Hay algunas excepciones a esta regla. Como por ejemplo, los sulfuros de cobre, CuS, y mercurio, HgS, no se disuelven en ácidos, ya que su producto de solubilidad es extraordinariamente pequeño.
b) Reacciones redox.
El efecto de los sistemas redox en la solubilidad de los precipitados se debe a que algunos de los iones que forman parte de estos precipitados pueden experimentar oxidaciones o reducciones, con lo que su concentración en la disolución disminuirá, desplazándose el equilibrio de precipitación para mantener la constante
Ks.
El CuS se disuelve en HNO3 diluido pero no en HCl, porque tiene lugar un proceso
redox:
Al precipitar el S desplaza el equilibrio hasta su total disolución.
c) Reacciones de formación de complejos.
Muchos cationes metálicos son capaces de unirse, mediante enlaces covalentes dativos, a distintos grupos atómicos, formando iones solubles, denominados iones complejos. Los grupos enlazados con el catión se denominan ligandos, y pueden ser moléculas neutras o aniones. Si una sal poco soluble contiene algún ion que pueda formar un ion complejo, se disolverá en una disolución que contenga el agente formador del complejo, el ligando. Así, el AgCl puede disolverse en una disolución de amoniaco,
NH3. La razón radica en que el NH3 forma un ion complejo con el ión
Ag+, el ion diamminaplata, [Ag(NH3)2]+, y el equilibrio de solubilidad de AgCl se desplaza hacia la derecha disolviéndose el precipitado. La secuencia de reacciones que tienen lugar es:
Las reacciones de formación de complejos no son totales, sino que alcanzan un equilibrio. Dicho equilibrio viene caracterizado por la constante de estabilidad del ion complejo, que en este caso es:
Que el precipitado se disuelva o no por formación de un ion complejo depende tanto del producto de solubilidad de la sal como de la constante de estabilidad del ion complejo. En este caso la constante de estabilidad es muy grande, la reacción estará muy desplazada hacia la derecha.
|
|
|