8. Energía eléctrica

Principal Arriba Enunciados

CIRCUITOS EN SERIE Y EN PARALELO

En un circuito se pueden colocar varios receptores. Hay dos formas básicas de conectarlos, en serie y en paralelo.

Circuito en serie: Todas las cargas que salen del generador pasan por todos los elementos del circuito. Si una lámpara se funde, las demás se apagan, pues se corta el circuito. Además la energía de las cargas se debe repartir entre todos los elementos conectados en serie. 

Circuito en paralelo: Las cargas que salen del generador no pasan por todos los elementos del circuito. Llegan a un punto, que se llama nodo, en el que se tienen que repartir entre los diferentes elementos del circuito. Si una lámpara se funde, las demás no se apagan, pues no se corta el circuito. Cada elemento dispone de la energía que puede proporcionar el generador.

Podemos construir estos circuitos en una placa de pruebas o protoboard.

Observa el siguiente vídeo donde se muestran las diferencias entre un circuito en serie y otro en paralelo.

SIMULACIÓN: CIRCUITOS ELÉCTRICOS Y ESQUEMAS, en educaplus.org

SIMULACIÓN: MONTAJE EN SERIE, en educaplus.org

SIMULACIÓN: MONTAJE EN PARALELO, en educaplus.org

EJERCICIOS PARA PRACTICAR

INTENSIDAD DE CORRIENTE

Vamos a estudiar las magnitudes que intervienen en un circuito eléctrico.

Ya vimos que el generador proporciona las cargas que van a circular por el circuito, pero ¿cuántas cargas circulan? ¿y lo hacen de forma rápida o lenta? Para conocer esto disponemos de una magnitud llamada Intensidad de corriente, I, que representa la cantidad de cargas que atraviesan una sección de conductor en la unidad de tiempo. 

I, es la intensidad de la corriente, Q la carga que atraviesa una sección de conductor y t es el tiempo.

La unidad de intensidad eléctrica es el amperio en honor al físico francés André-Marie Ampère (1775-1836), y se representa por A. El amperio es la intensidad de corriente que circula por un circuito cuando por una sección del mismo pasa un culombio cada segundo.

Para medir la intensidad de corriente se utiliza un aparato que se llama amperímetro. El amperímetro se debe conectar en serie para que pueda medir toda la carga que pasa por el circuito. ¡Ojo, no debemos conectarlo en paralelo, ya que debido a su poca resistencia la gran intensidad que pasaría por el lo quemaría. Suele ir protegido con fusibles, pero mejor es usarlo correctamente.

DIFERENCIA DE POTENCIAL

El generador del circuito debe proporcionar la energía suficiente a las cargas eléctricas para que circulen de un polo al otro. La diferencia de potencial es el trabajo eléctrico que debe realizar el generador para desplazar la unidad de carga de un punto a otro. 

V, es la diferencia de potencial, W, el trabajo eléctrico y Q la carga eléctrica.

La unidad de diferencia de potencial es el voltio, en honor al físico italiano Alessandro Giuseppe Antonio Anastasio Volta (1745-1827), y se representa por V. Entre dos puntos de un circuito hay una diferencia de potencial de un voltio si para transportar entre ellos un culombio de carga necesitamos realizar el trabajo de un julio.

Para medir la diferencia de potencial entre dos puntos de un circuito se utiliza un aparato denominado voltímetro. El voltímetro se coloca siempre en paralelo entre los puntos que queramos medir.

EJERCICIOS PARA PRACTICAR

RESISTENCIA ELÉCTRICA

La resistencia eléctrica es una propiedad de los materiales que mide la dificultad que oponen al paso de la corriente eléctrica. Su unidad es el ohmio, Ω, en honor al físico aleman Georg Simon Ohm (1789-1854). Dentro de los materiales conductores los hay unos mejores que otros. ¿De qué depende la resistencia de un material? Depende de varios factores:
  • Depende del tipo de sustancia, a través de una magnitud que llamamos resistividad, ρ.
  • Depende de la longitud del conductor, L, cuanto mayor sea la longitud mayor será la resistencia.
  • Depende de la sección del conductor, S, cuanto menor sea la sección mayor será la resistencia.

La resistividad es la resistencia de un conductor de 1m de longitud y de una sección de 1m2. Su unidad es ohmio·metro, Ω·m.

Material Resistividad (Ω·m) a 25ºC
Grafeno 1,00 · 10-8
Plata 1,59 · 10-8
Cobre 1,71 · 10-8
Aluminio 2,82 · 10-8
Wolframio 5,65 · 10-8
Níquel 6,40 · 10-8
Hierro 9,71 · 10-8
 

SIMULACIÓN: RESISTENCIA ELÉCTRICA, phet.colorado.edu

EJERCICIOS PARA PRACTICAR

ASOCIACIÓN DE RESISTENCIAS

Si tenemos varias resistencias en un circuito podemos calcular la resistencia equivalente, que será la resistencia que produzca el mismo efecto que el conjunto de resistencias. La resistencia equivalente depende de que las resistencias estén dispuestas en serie o en paralelo.

Asociación de resistencias en serie:

La resistencia equivalente R es la suma de las resistencias.

SIMULACIÓN: RESISTENCIAS EN SERIE, en educaplus.org

Asociación de resistencias en paralelo:

El inverso de la resistencia equivalente es la suma de los inversos de las resistencias.

SIMULACIÓN: RESISTENCIAS EN PARALELO, en educaplus.org

EJERCICIOS PARA PRACTICAR

LEY DE OHM

La ley de Ohm relaciona las magnitudes fundamentales de un circuito, la intensidad, la diferencia de potencial y la resistencia.

Para una misma diferencia de potencial cuanto mayor sea la resistencia menor será la intensidad que circula por el circuito.

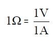
La ley de Ohm nos permite definir el ohmio.

El cociente entre la diferencia de potencial y la intensidad es la resistencia del circuito.

El ohmio es la resistencia de un conductor por el que circula un amperio de corriente cuando está sometido a una diferencia de potencial de un voltio.

SIMULACIÓN: LEY DE OHM, en phet.colorado.edu

SIMULACIÓN: LEY DE OHM, en educaplus.org

EJERCICIOS PARA PRACTICAR

EFECTO JOULE

La energía suministrada por un generador es igual a su trabajo eléctrico. El trabajo eléctrico es la carga por la diferencia de potencial.

Si queremos calcular la energía que consume un receptor eléctrico multiplicamos la carga que pasa por el mismo por la diferencia de potencial entre sus extremos.

También podemos calcular el trabajo eléctrico sustituyendo el valor de la carga en la expresión anterior:

Cuando la electricidad circula por un conductor se libera calor debido a los choques de los electrones con los átomos del conductor. Este fenómeno que libera energía calorífica en los conductores se denomina efecto Joule. La energía que se disipa como calor en una resistencia es:

POTENCIA ELÉCTRICA

Un generador eléctrico nos puede aportar cierta cantidad de energía eléctrica en la unidad de tiempo. Esta magnitud es la potencia eléctrica. Si tenemos muchos aparatos que consumen energía en nuestro circuito nos interesa que la potencia sea mayor.

La unidad de potencia eléctrica es el vatio, W, en honor al ingeniero e inventor escocés James Watt (1736-1819).

La potencia que se consume en una resistencia será:

Esta expresión se conoce como ley de Joule

En los electrodomésticos puedes encontrar el dato de la potencia, lo que te permite calcular la energía que consume en un tiempo determinado.

Una unidad muy utilizada en medidas eléctricas es el kW·h. No es una unidad de potencia, es una unidad de energía. Representa la energía que consume un aparato de 1000W durante una hora. Su equivalencia en julios es:

1kW·h = 1kW · 1h = 1000W · 3600s = 3,6·106 W·s = 3,6·106 J

SIMULACIÓN: LEY DE OHM Y POTENCIA ELÉCTRICA, en educaplus.org

SIMULACIÓN: RESUMEN DE CIRCUITOS ELÉCTRICOS, en educaplus.org

EJERCICIOS PARA PRACTICAR

Arriba Enunciados

 

WWW.ALONSOFORMULA.COM
Formulación Inorgánica  Formulación Orgánica 
Formulación Inorgánica  Formulación Orgánica 
Formulació Inorgánica  Formulació Orgánica 
Ezorganikoaren Formulazioa  Nomenclature of Inorganic Q. 
Física y Química de ESO  Física e Química de ESO 
FQ de 1º de Bachillerato  FQ de 1º de Bacharelato 
Química de 2º de Bachillerato  Prácticas de Química