7. La fuerza gravitatoria

Principal Arriba Enunciados

LA CAÍDA DE LOS CUERPOS

Todos tenemos la experiencia de que los cuerpos pueden caer sobre la superficie terrestre. Si dejamos caer un cuerpo libremente lo hace en línea recta y en vertical. Si lo lanzamos en otras direcciones describe una curva que se conoce como parábola.

Puedes jugar con esta simulación de la Universidad de Colorado para conocer mejor este movimiento parabólico. ¿Serás capaz de acertar en la diana?

La pregunta que nos podemos hacer es: ¿Por qué los cuerpos siempre caen hacia la Tierra?

Galileo Galilei nos ayudó a entender cómo caen estos cuerpos hacia la Tierra. Descubrió que cuando caían su velocidad aumentaba, y esta velocidad era independiente de lo pesado o ligero que fuera el cuerpo en ausencia de la resistencia del aire. Esto lo comprobaron los astronautas del Apollo 15.

Si dejamos caer dos cuerpos de diferente peso pero de forma parecida podemos comprobar lo mismo. Coge un papel, recorta una esquina pequeña, haz dos bolas con los dos trozos de papel, déjalos caer a la vez, ¿qué ocurre? Uno es muchas veces más pesado que el otro pero observamos que llegan al suelo a la vez.

LA MASA Y EL PESO

Todos los cuerpos experimentan en la Tierra una fuerza que es lo que llamamos peso. Somos atraídos por la Tierra como si algo estuviera tirando de nosotros hacia abajo. 

Peso es la fuerza con la que la Tierra nos atrae, y apunta hacia el centro de la Tierra. Es un vector.

El módulo del peso es directamente proporcional a la masa del cuerpo.

g es la aceleración de la gravedad, es la aceleración con la que caen todos los cuerpos en la superficie de la Tierra. Si la masa la medimos en kilogramos el peso lo obtenemos en newtons.

¿Cuál es el peso de una persona de 60kg?

P = m·g = 60kg · 9,8m/s2 = 588N

Te parecerá extraño, pues el peso se suele dar en kilos, pero no kilogramos que es unidad de masa, sino kilopondios que es el peso de un kilogramo de masa.

La masa mide la cantidad de materia que tiene un cuerpo, y es independiente de donde se mida

EJERCICIOS PARA PRACTICAR

LA FUERZA GRAVITATORIA

La fuerza con que la Tierra atrae a todos los cuerpos la llamamos fuerza gravitatoria. A Isaac Newton le debemos poder entender de qué depende esta fuerza. 

Él comprendió que todas las masas se atraen. Pero si los cuerpos son pequeños esta fuerza es despreciable, pero si uno de los cuerpos es la Tierra u otro planeta la fuerza ya tiene un valor apreciable. Vamos a intentar averiguar como es la fuerza F con que dos masa m1 y m2 separadas una distancia d se atraen.

Con la siguiente simulación de la Universidad de Colorado intentaremos descubrir de qué depende la fuerza con la que se atraen las masas.

1º experimento: Para una misma distancia entre las masas, comprueba que le ocurre a la fuerza cuando aumentamos el valor de las masas. Observamos que aumenta.

2º experimento: Para unas mismas masas, comprueba que le ocurre a la fuerza cuando aumentamos la distancia entre las masas. Observamos que disminuye.

Conclusión, la fuerza gravitatoria es proporcional a las masas e inversamente proporcional a la distancia entre ellas.

Podemos escribir:

Las masas deben estar en el numerador y la distancia en el denominador para que ocurra lo que vimos en los experimentos. Veamos ahora si las masas se suman o se multiplican entre ellas.

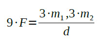
3º experimento: Para una misma distancia entre las masas, pon un valor bajo de las masas, a las dos la misma, anota la fuerza. Luego triplica el valor de las masas, anota la fuerza. Si las masas se triplican ¿qué le ocurre a la fuerza?

Observamos que se multiplica por nueve,

Por tanto deducimos que las masas se multiplican, no se suman.

Veamos ahora cómo es la dependencia de la distancia.

4º experimento: Para unas mismas masas, fijamos una distancia corta, anota la fuerza. Luego triplica la distancia anterior, anota la fuerza.

Observamos que al triplicar la distancia la fuerza se hace 9 veces más pequeña, deducimos entonces que la distancia debe estar elevada al cuadrado.

En esta ecuación si sustituimos las masas en kg y la distancia en m no nos da la fuerza en N, debe haber una constante con dimensiones que nos permita usar esas unidades.

La fuerza de atracción gravitatoria es directamente proporcional al valor de las masas que se atraen e inversamente proporcional al cuadrado de la distancia que las separa. Esta distancia la medimos entre los centros de gravedad de estos cuerpos.

Esta es la Ley de gravitación universal, fue formulada por Isaac Newton en su libro Philosophiae Naturalis Principia Mathematica, publicado el 5 de julio de 1687.

Utilizando la simulación podemos calcular la constante G, o constante de gravitación universal.

5º experimento: Despeja en la ley de gravitación universal la constante G, luego utiliza los datos de la simulación para calcularla. Recuerda la fuerza la ponemos en N, las masa en kg y la distancia en m.

Por ejemplo: Si las masa son de mil millones de kg, separadas 2000m, la fuerza de atracción son 16,7N.

 

 

Ahora ya sabemos el valor de esta constante. Hoy se acepta como valor,

En 1798 Henry Cavendish, ayudándose de una balanza de torsión calcula el primer valor de esta constante. De él se dice que fue el primer hombre en calcular la masa de la Tierra. Vamos a intentarlo.

Sabiendo que una masa de un kilogramos pesa 9,8N podemos calcular la masa de la Tierra sabiendo qué distancia nos separa del centro de la misma, si el radio de la Tierra es RT = 6371km, sustituimos estos valores en la ley de gravitación universal:

 

 

MOVIMIENTO DE LOS PLANETAS

Los Planetas son grandes masas que se mueve en torno al Sol. 

El astrónomo alemán Johannes Kepler (1571-1630), nos dio las claves de cómo se mueven los Planetas. Lo hacen en órbitas elípticas (cosa que no le cabía en la cabeza, no entendía como Dios escogió la elipse si disponía de la circunferencia que es más perfecta, recordemos que era un hombre muy religioso). En ese movimiento elíptico pasan por una zona más próxima al Sol y luego por otra más alejada del mismo, cuando pasan cerca del Sol lo hacen a mayor velocidad. Y por último cuanto más alejados estén los planetas del Sol más lento será su movimiento de traslación.

La siguiente simulación de la Universidad de Colorado te permite familiarizarte con este movimiento planetario:

¿POR QUÉ NO SE CAE LA LUNA?

Pocas experiencias astronómicas nos impresionan más que ver salir la Luna llena por el horizonte, como en este vídeo sobre la superluna del 19 de marzo de 2011. Nuestro satélite gira en torno a la Tierra en una órbita con un radio medio de 384000 km. 

Newton nos explica por qué la Luna gira en torno a la Tierra. La fuerza de gravedad la atrae hacia nosotros. Pero eso también ocurre con una manzana que cae. ¿Por qué la Luna no cae sobre la Tierra? ¿O resulta que sí cae?

Entonces sí cae la Luna sobre nosotros, pero como la Tierra es redonda nunca llega a chocar con la Tierra. Bien ya sabemos que cae, pero ¿cuánto cae?, ¿qué distancia recorre la Luna en su caída? Podemos decir que algo más de un milímetro cada segundo, observa:

Aunque todavía no entiendas todas estas fórmulas si puedes entender que hay unas leyes que se cumplen para todos los cuerpos y nos permiten entender cómo cae, por ejemplo, una manzana, o cómo se mueve la Luna en órbita a la Tierra.

LAS DISTANCIAS EN EL UNIVERSO

Ya vimos en el primer tema que las distancias las podemos medir en metros. El metro es una unidad práctica para medir las distancias más habituales. ¿Pero es práctico medir las distancias en el Universo en metros? Parece que no. En el Universo las distancias son enormes, y este adjetivo incluso se nos queda corto. Ya vimos que la Luna está a unos 384000 km de la Tierra, casi el equivalente a dar 10 vueltas completas a la Tierra. Esto si es una distancia enorme.

El Sol está más lejos, a unos 150 millones de kilómetros de la Tierra, casi 400 veces más lejos que la Luna. Pero Neptuno, el planeta del Sistema Solar más alejado del Sol está a unos 4500 millones de kilómetros de éste. Unas 30 veces más alejado del Sol que la Tierra. Y no hemos salido del Sistema Solar.

¿A qué distancias están las estrellas? Las distancias son aún mayores, inmensamente mayores. Los metros o kilómetros resultan ridículos para medirlas. Los astrónomos usan el año-luz.

Pero ¿qué es un año-luz? Un año luz es la distancia que recorre la luz en un año. La velocidad de la luz es una constante del Universo, nada puede ir más rápido que ella, como nos describe Albert Einstein en la Teoría de la Relatividad. La velocidad de la luz recorre en el vacío 299792,458 km cada segundo. Lo podemos redondear a 300000 km/s. Este valor es un límite de la física, nada puede ir a más velocidad en nuestro Universo. 

Según este valor de la velocidad de la luz un segundo-luz sería la distancias que recorre la luz en un segundo, es decir, 300000 km, más de las tres cuartas partes de la distancia a la Luna. La luz que nos llega de la Luna tarda algo más de 1s. 

Un minuto-luz es la distancia que recorre la luz en un minuto, es decir 300000km por 60. La distancia a la que se encuentra el Sol de la Tierra es 8,33 minutos-luz. La luz del Sol tarda en llegar a nosotros 8 minutos y 20 segundos. Esto significa que cuando vemos al Sol ponerse en la puesta del Sol ya lleva más de 8 minutos por debajo de horizonte. Podemos decir que lo vemos con un retraso de más de 8 minutos.

Para medir distancias a las estrellas usamos una unidad aún mayor, el año-luz. Un año-luz es la distancia que recorre la luz en un año. ¿A cuántos km equivale?

Lo podemos redondear en casi 10 billones de kilómetros. 

La estrella más próxima a nosotros, sin tener en cuenta el Sol, es Alfa Centauri, que está a 4,37 años-luz de la Tierra, más de 40 billones de kilómetros. 

La estrella Polar, de la constelación de la Osa Mayor, está a 431 años-luz. 

La constelación más bella puede que sea Orión, visible en las noches de invierno desde el hemisferio norte. En ella puedes encontrar estrellas de distintos colores, como Betelgeuse (supergigante roja, 500 años-luz) o Rigel (supergigante blanco-azulada, 860 años-luz), también podemos ver en ella una nebulosa, la famosa nebulosa de Orión, que es en realidad un horno donde se están fabricando estrellas.

El objeto visible a simple vista más lejano es la Galaxia de Andrómeda, que se conoce como M31, situada en la constelación de Andrómeda, está a unos 2,5 millones de años-luz de la Tierra.

Fíjate que medir las distancias de esta forma es reconocer que la luz de las estrellas nos llega con mucho retraso. O dicho de otra forma, cuando contemplamos un cielo estrellado no estamos viendo el presente, estamos viendo el pasado.

EJERCICIOS PARA PRACTICAR

NUESTRA POSICIÓN EN EL COSMOS

Nuestra visión del Cosmos varió mucho en los últimos siglos. De creer que éramos el centro del Universo pasamos a ser un rincón más del mismo, ni siquiera un rincón importante. Pero es éste nuestro lugar en el Cosmos. Probablemente nadie más capacitado para situarnos en él que Carl Sagan, astrofísico americano que nos acercó definitivamente los mundos más lejanos del Universo, y nos abrió ventanas que no se cerrarán nunca:

Para empezar el estudio del Universo que mejor que hacerlo directamente mirando el cielo nocturno. A simple vista o con unos modestos prismáticos puedes reconocer estrellas, constelaciones, planetas, y otros objetos como nebulosas o galaxias.

Es de gran ayuda para reconocer el cielo nocturno el uso de un planetario. En el móvil seguramente tienes instalada la app Sky Map, también puedes descargar la app Stellarium. Se puede descargar el Stellarium en el ordenador, es un software de código abierto muy potente. Si no lo quieres instalar también cuentas con una versión Online interesante. Te dejo aquí el enlace: Stellarium Web. Estas herramientas os ayudarán a aficionaros a la astronomía.

Arriba Enunciados
WWW.ALONSOFORMULA.COM
Formulación Inorgánica  Formulación Orgánica 
Formulación Inorgánica  Formulación Orgánica 
Formulació Inorgánica  Formulació Orgánica 
Ezorganikoaren Formulazioa  Nomenclature of Inorganic Q. 
Física y Química de ESO  Física e Química de ESO 
FQ de 1º de Bachillerato  FQ de 1º de Bacharelato 
Química de 2º de Bachillerato  Prácticas de Química