5. Cinética

Principal Enunciados

   Frances Arnold, estadounidense e pioneira no uso da evolución dirixida para crear encimas (moléculas bioquímicas que catalizan ou aceleran as reaccións químicas) con funcións melloradas e novas. Por exemplo, utilizou a evolución dirixida para deseñar encimas que poden utilizarse para producir combustibles renovables e compostos farmacéuticos menos agresivos co medio ambiente. A evolución dirixida é un proceso que introduce mutacións nas secuencias das proteínas e proba os efectos que causa. Se nun caso unha mutación produce unha mellora na proteína, compróbase o proceso e se itera ata optimizar aínda máis o resultado.

   En 2018 foi galardoada co Premio Nobel de Química polo seu traballo en evolución dirixida.

CINÉTICA QUÍMICA

   Cando nos poñemos a estudar as reaccións químicas hai dous enfoques do problema que son de gran utilidade. O primeiro é o estudo termodinámico da reacción. Xa o estudamos o curso pasado, por tanto lembrarás que a Termoquímica informábanos das enerxías que interveñen nunha reacción química e tamén nos permitía saber se un proceso era espontáneo ou non. Este estudo é de gran importancia, pero non é o único que debemos abordar. Despois de saber se unha reacción é espontánea debemos preguntarnos se será rápida ou lenta, algo fundamental na industria; e de ser lenta, pescudar como podemos aumentar a velocidade da reacción. Pensa, por exemplo, que estás a fabricar un pegamento, interésache que ese pegamento pegue o máis rápido posible. Outras veces interésanos o contrario, que as reaccións sexan máis lentas, o que nos axuda, por exemplo, a conservar os alimentos, que tarden máis en caducar e que os podamos consumir en boas condicións durante máis tempo. Este estudo proporciónanolo a Cinética Química, da que trataremos a continuación.

   A cinética química estuda a velocidade das reaccións químicas, os factores que inflúen sobre a mesma e os mecanismos polos que transcorren.

VELOCIDADE DE REACCIÓN

   Nunha reacción química prodúcese a conversión de reactivos en produtos, por tanto para medir a velocidade dunha reacción debemos coñecer a rapidez coa que desaparecen os reactivos ou a rapidez coa que se forman os produtos. Isto pódese conseguir observando como varían as concentracións respecto do tempo.

   A velocidade dunha reacción é a variación da concentración dos reactivos ou produtos respecto do tempo. Mídese en mol·L-1·s-1, ou M·s-1.

   Supoñamos a seguinte ecuación xenérica:

   Mediremos a velocidade determinando o que diminúe a concentración de cada reactivo nun intervalo de tempo, ou o que aumenta a concentración de cada produto no mesmo intervalo de tempo. 

   Ás velocidades de diminución dun reactivo poñémoslle un signo menos diante para obter un valor positivo e que coincidan coas velocidades de aparición dun produto. 

   A gráfica que nos dá a variación destas concentracións podería ser algo así:

   A pendente é máxima no instante inicial e logo vai diminuíndo, a velocidade inicial é máxima e logo vai decaendo a medida que se van consumindo os reactivos. 

   Se temos diferentes coeficientes para cada substancia:

   As ecuacións que nos dan as velocidades serán:

   Estas velocidades son velocidades medias, xa que se miden nun intervalo de tempo. Para intervalos infinitesimais teremos as velocidades instantáneas.

ECUACIÓN DE VELOCIDADE

   Na maioría das reaccións químicas a velocidade de reacción inicial depende das concentracións iniciais. A expresión que nos dá a velocidade en función das concentracións iniciais debémola determinar experimentalmente.

   Supoñamos a seguinte reacción:

   A ecuación de velocidade ten unha expresión semellante a esta:

   A ecuación de velocidade ou ecuación cinética é a expresión matemática que relaciona a velocidade de reacción coas concentracións molares iniciais das substancias que interveñen nela.

   Esta é unha ecuación experimental, os expoñentes aos que elevamos as concentracións non teñen por que coincidir cos coeficientes estequiométricos da ecuación axustada.

   A constante cinética ou de velocidade, k, non depende das concentracións, pero si da temperatura e doutras variables. As súas unidades dependen da expresión da velocidade.

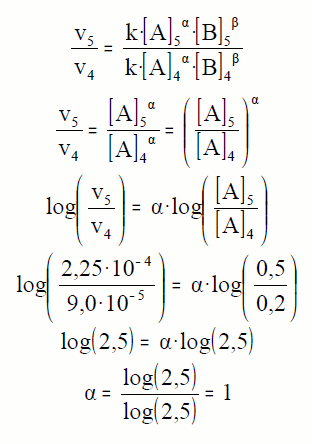
   Supoñamos 6 experiencias coa reacción anterior. Os valores das concentracións e da velocidade inicial son:

Experiencia [A] (mol/l) [B] (mol/l) v inicial (mol·l−1·s−1)
1 0,1 0,1 5,0·10−6
2 0,1 0,2 2,0·10−5
3 0,2 0,2 4,0·10−5
4 0,2 0,3 9,0·10−5
5 0,5 0,3 2,25·10−4
6 0,5 0,5 6,25·10−4

   Nas tres primeiras experiencias podemos deducir o resultado de forma evidente. Nas dúas primeiras experiencias mantense constante a concentración d A mentres se duplica a concentración de B, e observamos que a velocidade se cuadriplica, por tanto deducimos que a velocidade depende do cadrado da concentración de B. Nas experiencias 2 e 3 mantense constante a concentración de B e duplícase a de A, como a velocidade tamén se duplica deducimos que a velocidade depende da concentración de A. O expoñente de A é 1 e o de B é 2.

   Se non se duplican as concentracións dunha substancia mantendo constante as da outra substancia o resultado non é tan evidente. Neste caso podemos facer un sinxelo cálculo con logaritmos. Dividimos a expresión da ecuación da velocidade para dúas das experiencias anteriores, nas que se manteña constante a concentración dun dos reactivos, e aplicamos logaritmos para calcular o coeficiente. Realizamos este cálculo ás tres últimas experiencias:

   A ecuación de velocidade para esta reacción é:

   Dise que é de orde 1 respecto de A, ou tamén pódese dicir que é de primeira orde respecto de A, e dise que é de orde 2 respecto de B, ou tamén pódese dicir que é de segunda orde respecto de B. A suma de todos os expoñentes chámase orde de reacción. Neste caso dise que é de orde total 3, ou que é de terceira orde total.

   A constante k da reacción podemos calculala substituíndo os valores de calquera das experiencias na ecuación da velocidade:

   Xa podemos escribir a ecuación de velocidade completa:

   Lembra que os expoñentes non se corresponden cos coeficientes estequiométricos da ecuación química axustada. A ecuación de velocidade é unha ecuación obtida experimentalmente e ten que ver co mecanismo da reacción.

   Exemplo de reacción de orde cero é a descomposición do amoníaco en presenza dun catalizador de platino a alta temperatura:

   A súa ecuación de velocidade é unha función constante:

   Exemplo de reacción de orde un:

   A súa ecuación:

   Exemplo de reacción de orde dous:

   A súa ecuación:

   Exemplo de reacción de orde tres:

   A súa ecuación:

EXERCICIOS PARA PRACTICAR

TEORÍA DE COLISIÓNS

  Para comprender a velocidade de reacción e os factores de que depende debemos facer un estudo molecular das reaccións químicas. A principios do XX coñecíase a relación entre temperatura e velocidade de reacción, e elabórase a teoría de colisións, proposta polo alemán Max Trautz en 1916 e o inglés William Lewis en 1918 de forma independente.

   Segundo a teoría de colisións as reaccións químicas prodúcense a partir dos choques que sofren os reactivos, sexan átomos, moléculas ou ións.

   A velocidade de reacción depende de tres factores:

   1. A frecuencia dos choques por unidade de volume. A maior frecuencia máis velocidade, esta é a causa pola que o aumento da concentración ou o aumento da temperatura aumentan a velocidade de reacción.

   2. A eficacia dos choques. Os choques deben ter suficiente enerxía para que dean lugar á reacción.

   3. A orientación dos choques debe ser favorable. Non todos os choques de suficiente enerxía dan lugar a reacción, hai orientacións dos choques máis favorables e outras menos favorables.

   En 1888 o químico sueco Svante Arrhenius (1859-1927) propón que as moléculas deben ter un mínimo de enerxía para poder reaccionar. Cando dúas moléculas chocan a súa enerxía cinética debe ter un valor mínimo para que rompan e formen os produtos. Esta enerxía mínima que necesitan as moléculas para reaccionar chámase enerxía de activación, Ea, e ten un valor diferente para cada reacción. Unha enerxía de activación máis alta implica maior dificultade para que as moléculas dos reactivos pasen a produtos, o que diminúe a velocidade de reacción. A temperatura tamén xoga un papel importante, a maior temperatura dos reactivos maior número de moléculas poden alcanzar a enerxía de activación que lles permite pasar a produtos.

   Arrhenius observa que a relación entre a velocidade e a temperatura non é lineal e segue a seguinte ecuación que se coñece como ecuación de Arrhenius, esta ecuación permite relacionar a constante de velocidade coa temperatura:

nela A é o factor de frecuencia, relacionado coa frecuencia das colisións e a probabilidade de que as mesmas teñan unha orientación favorable. Ea é a enerxía de activación (J/mol). R é a constante dos gases (8,314 J/K·mol). T é a temperatura absoluta (K). Podemos notar que se aumenta a temperatura a constante de velocidade aumenta, e por tanto aumenta tamén a velocidade de reacción.

   O mesmo ocorre se a reacción fose endotérmica. Só que neste caso a enerxía de activación da reacción directa será maior que a enerxía de activación da reacción inversa.

TEORÍA DO ESTADO DE TRANSICIÓN OU DO COMPLEXO ACTIVADO

   Foi proposta por Henry Eyring (1901-1981) en 1935. Segundo esta teoría para pasar de reactivos a produtos débese achegar a enerxía de activación. Entre reactivos e produtos fórmase un estado intermedio, chamado complexo activado, de escasa duración, no que se están rompendo uns enlaces e formando outros enlaces novos. O complexo activado corresponde á cúspide da gráfica de enerxía entre reactivos e produtos.

   Para alcanzar o complexo activado debe achegarse a enerxía de activación. Se esta é alta haberá poucas moléculas que a alcancen e a reacción será moi lenta, en cambio se é baixa haberá moitas moléculas con enerxía suficiente e a reacción será moi rápida. Se a reacción é exotérmica bastará con que algunhas moléculas alcancen o estado de transición para que se manteña a reacción, a enerxía desprendida na mesma fará que máis moléculas alcancen o estado de transición e a reacción progrese. Esta é a razón de que moitas reaccións necesitan ser iniciadas cunha faísca ou unha chama, como a combustión do butano. A faísca, ou a chama do chisqueiro, proporcionan a enerxía suficiente para que un determinado número de moléculas alcancen a enerxía de activación e a reacción teña lugar, ao ser unha reacción exotérmica a enerxía desprendida na reacción axuda a que máis moléculas alcancen a enerxía de activación e a reacción se manteña ata que se consuman os reactivos.

   Vémolo para a reacción:

 Nesta reacción, se a temperatura é insuficiente as moléculas dos reactivos non poden alcanzar a enerxía de activación e a reacción non se produce. Se se achega esa enerxía en forma de calor as moléculas alcanzan a enerxía de activación e dan lugar ao complexo activado. Neste estaranse rompendo uns enlaces e formando outros novos que nos leven aos produtos. A reacción ao ser exotérmica produce a enerxía suficiente para automantenerse, é dicir, proporcionar ás moléculas dos reactivos a enerxía suficiente para superar a barreira que supón a enerxía de activación.

Chegados a este punto vénme á memoria a interesante novela de Ray Bradbury publicada en 1953 "Fahrenheit 451". 451ºF graos equivalen a 232,8ºC que é a temperatura á que o papel dos libros se inflama e arde espontaneamente, debido a que as súas moléculas alcanzan o enerxía de activación que lles permite reaccionar co osíxeno do aire. Foi levada ao cinema, con éxito, en 1966 por François Truffaut.

EXERCICIOS PARA PRACTICAR

MECANISMO DE REACCIÓN

   O axustar a ecuación química dunha reacción é consecuencia da lei de conservación da masa de Lavoisier, pero non explica como se leva a cabo a reacción. Se as reaccións precisan do choque de moléculas para producirse estes choques deben implicar a un número moi reducido de moléculas, a probabilidade de choques de gran número de moléculas é despreciable. Por iso o mecanismo real polo que se produce unha reacción supoñerá un determinado número de pasos elementais que impliquen só unas poucas moléculas.

   O mecanismo dunha reacción química é a secuencia de pasos elementais que dan lugar aos produtos da mesma.

   O número de moléculas que chocan en cada paso elemental coñécese como molecularidade.

   Podemos sinalar algúns posibles pasos elementais e cales serían as súas ecuacións de velocidade:

Molecularidade Paso elemental Ecuación de velocidade Exemplo
Unimolecular A → produtos v = k [A] O3(g) → O2(g) + O(g)
Bimolecular A + A → produtos v = k [A]2 NO(g) + NO(g) → N2O2(g) 
Bimolecular A + B → produtos v = k [A] [B] N2O2(g) + O2(g) → 2NO2(g) 

    Aínda que puidesen ser posibles reaccións trimoleculares, ou termoleculares, a súa probabilidade sería moi baixa, practicamente despreciable.

   Por tanto en todo mecanismo de reacción teremos un ou máis pasos elementais. Estes pasos elementais poden ser rápidos ou lentos. E neles poden aparecer e desaparecer substancias que non están entre os reactivos e produtos, e chamarémolos intermediarios.

   Supoñamos a seguinte reacción que se produce por baixo de 225ºC:

NO2(g) + CO(g) → NO(g) + CO2(g) 

   Poderíase pensar que se produce nun só paso elemental bimolecular. Neste caso a súa ecuación de velocidade sería:

v = k [NO2] [CO] 

   Pero sábese que a ecuación de velocidade experimental é:

v = k [NO2]2

   Por tanto, a ecuación anterior non é elemental. Debemos expor un mecanismo que sexa congruente coa ecuación experimental. Podemos expor o seguinte mecanismo en dous pasos:

Paso 1:      NO2(g) + NO2(g) → NO3(g) + NO(g)     (lento)

Paso 2:      NO3(g) + CO(g) → NO2(g) + CO2(g)     (rápido)

   A reacción global sería a suma destes dous pasos elementais:

Global:      NO2(g) + CO(g) → NO(g) + CO2(g) 

   O primeiro paso ao ser un paso lento condiciona a velocidade da reacción e é congruente coa ecuación de velocidade experimental. O NO3(g) é un intermediario, que se produce lentamente na primeira reacción pero consómese rapidamente na segunda. Hoxe en día é posible rastrexar de forma experimental estes intermediarios que se producen de forma efémera durante as reaccións.

EXERCICIOS PARA PRACTICAR

FACTORES QUE AFECTAN Á VELOCIDADE DE REACCIÓN

    Hai unha serie de factores que afectan as reaccións químicas. O seu coñecemento pódenos axudar a entender e modificar a velocidade dunha reacción.

1. Concentración dos reactivos.

   Da ecuación de velocidade dedúcese que un aumento das concentracións dos reactivos implica un aumento da velocidade da reacción. 

   Podémolo xustificar a partir da teoría de colisións. Ao aumentar a concentración dun gas fanse máis frecuentes os choques, e por tanto o número de choques eficaces o que dará lugar a un aumento da velocidade.

2. Natureza química, estado físico e grao de división dos reactivos.

   É fácil entender que diferentes reactivos dean velocidades de reacción diferentes. A natureza dos diferentes enlaces que se teñen que romper e formar condiciona a velocidade da reacción. 

   As reaccións en fase gas ou en disolución tamén adoitan ser máis rápidas que con reactivos sólidos, ou con reactivos en fases diferentes (reaccións heteroxéneas). En fase gas e en disolución son máis fáciles os choques entre moléculas o que favorece a velocidade, esta é a razón que na industria e no laboratorio trabállese preferentemente en fase gas ou en disolución.

   O maior grao de división das partículas que reaccionan tamén favorecen un aumento de velocidade de reacción, auméntase a superficie de contacto entre reactivos e isto favorece un aumento de velocidade. 

3. Aumento da temperatura.

   O aumento da temperatura con moi poucas excepcións produce un aumento da velocidade de reacción. Ao aumentar a temperatura aumenta a axitación térmica das moléculas, aumenta a súa velocidade, e por tanto a súa enerxía cinética, haberá máis moléculas que alcancen a enerxía de activación o que produce un aumento da velocidade.

  Como se ve na gráfica ao aumentar a temperatura hai unha maior fracción de moléculas que alcanzan a enerxía de activación, por tanto a velocidade aumenta.

   Esta é a razón de que todos teñamos frigoríficos nas nosas casas. A baixas temperaturas os procesos de descomposición dos alimentos e o metabolismo das bacterias retárdanse, facendo que os alimentos se conserven durante máis tempo con plenas garantías sanitarias.

4. Presenza de catalizadores.

   Os catalizadores son substancias químicas. As súas características son:

  • En pequenas cantidades aumentan notablemente a velocidade de reacción, ou no caso dos inhibidores retárdana.
  • Non participan na reacción química, por tanto non se consomen durante a mesma, recuperándose ao final desta.

   O papel dos catalizadores é favorecer o contacto entre os reactivos, facendo que diminúa a enerxía de activación, conseguindo así que a reacción sexa máis rápida. Practicamente non hai procesos industriais onde non participen os catalizadores. A industria non só necesita obter produtos, necesita obtelos con rapidez e a baixo custo, para o que é fundamental a utilización de catalizadores. Os inhibidores tamén teñen un papel fundamental na industria alimentaria na que retardan as reaccións que deterioran os alimentos.

CATÁLISE

  O nome de "procesos catalizados" foi proposto polo químico sueco Jöns Jacob Berzelius (1779-1848) en 1836, para describir reaccións que aumentan a súa velocidade de reacción pola acción de substancias que permanecen sen cambios despois da reacción.

   Posteriormente, en 1902  Wilhelm Ostwald (1853-1932) define como catalizador unha substancia que cambia a velocidade dunha reacción química sen ser modificada polo proceso. O seu traballo sobre a catálise e o equilibrio químico valeulle o Premio Nóbel de Química do ano 1909.

   En 1981 a IUPAC acepta a seguinte definición: “un catalizador é aquela substancia que incrementa a velocidade da reacción sen alterar a enerxía libre de Gibbs estándar da mesma; o proceso denomínase catálisis e a reacción en que está involucrado un catalizador denomínase reacción catalizada”. 

Características dos catalizadores:

  • O catalizador intervén no mecanismo da reacción, pero non se consome. O catalizador participa nalgunha etapa da reacción, pero ao final rexenérase. Non é nin un reactivo nin un produto da reacción.
  • Pequenas cantidades de catalizador, con respecto aos reactivos, bastan para observar un incremento na velocidade.
  • O catalizador non modifica o rendemento da reacción. O rendemento será o mesmo que sen catalizador. O que se consegue é que a reacción sexa máis rápida.
  • O catalizador aumenta a velocidade da reacción ao diminuír a enerxía de activación da reacción. Por exemplo, para a reacción exotérmica R → P, o diagrama de enerxía da reacción non catalizada e catalizada sería:

   A liña vermella mostra o perfil de enerxía para a reacción sen catalizar, e a liña azul para a reacción catalizada. A enerxía de activación é menor na reacción catalizada, como consecuencia máis moléculas teñen enerxía suficiente para reaccionar e por tanto a velocidade de reacción será maior. Pero a variación de entalpía da reacción é a mesma para a reacción catalizada e sen catalizar. Como conseguen os catalizadores reducir a enerxía de activación? Os catalizadores crean, cos reactivos, intermediarios de enerxía de activación máis baixa que se a reacción non está catalizada, daquela estes intermediarios xeran de novo o catalizador e os produtos da reacción. 

Tipos de procesos de catálise:

  • Homoxénea: o catalizador está na mesma fase que as especies que reaccionan: por exemplo, catalizador e reactivos gases, ou catalizador e reactivos en disolución.
  • Heteroxénea: o catalizador e os reactivos están en fase distinta: por exemplo, o catalizador está en fase sólida mentres que os reactivos son gases.
  • Encimática: ocorre só en sistemas biolóxicos, e nestes casos os catalizadores chámanse encimas: macromoléculas proteicas.

Catálisis homoxénea.

A descomposición da auga osixenada catalizada polo ión yoduro é un exemplo de catálise homoxénea. A reacción que ocorre é a seguinte:

2 H2O2(ac) → 2 H2O(l) + O2(g) 

   Ao engadir yoduro de potasio (KI) sólido, este disólvese na auga. O ión yoduro reacciona primeiro coa auga osixenada, obténdose unha reacción en dous pasos:

PASO 1:       2 I(ac) + H2O2(ac) + 2 H+(ac) → I2(ac) + 2 H2O(l)
PASO 2:       I2(ac) + H2O2(ac) → 2 I(ac) + 2 H+(ac) + O2(g)
GLOBAL:     2 H2O2(ac) → 2 H2O(l) + O2(g) 

   O catalizador pode participar nalgún dos pasos da reacción, participa no paso 1, pero rexenérase no paso 2, por tanto non aparece na reacción global, suma dos pasos 1 e 2. O yoduro axuda a diminuír a enerxía de activación que ten como efecto aumentar a velocidade de reacción. A catálise é homoxénea ao estar tanto o yoduro como a auga osixenada na mesma fase.

Outro exemplo de reacción de catálise homoxénea é a catálise acedo-base, a formación de acetato de metilo a partir do ácido acético e o metano acelérase coa presenza de protóns, H+, en disolución.

Catálisis heteroxénea.

En moitas reaccións entre gases úsanse catalizadores sólidos, que adoitan ser metais de transición ou óxidos metálicos. 

A síntese do amoníaco segundo o proceso Haber-Bosch obtense coa participación de ferro finamente dividido como catalizador. O óxido de vanadio(V) finamente dividido cataliza a formación de ácido sulfúrico. O platino cataliza o proceso Ostwald para a formación de ácido nítrico. As margarinas obtéñense por hidroxenación de ácidos graxos insaturados con participación de catalizadores de Ni, Pd ou Pt. Nestes casos o proceso de catálisis depende da capacidade do catalizador para adsorber ao reactivo. O reactivo adhírese á superficie do catalizador debilitando as ligazóns e diminuíndo a enerxía de activación.

Catálisis encimática.

A catálisis encimática é a que se produce nos seres vivos. As encimas son catalizadores biolóxicos que teñen estrutura de macromolécula proteica. Na maior parte das reaccións que teñen lugar nos organismos vivos participan encimas. Son catalizadores altamente específicos que aumentan a velocidade de reacción dunha forma moi eficaz ás presións e temperaturas nas que se desenvolve a vida.

As características das encimas:

  • Ser altamente eficaces para unha determinada reacción, moitísimo máis que calquera catalizador non encimático.
  • Ser altamente específicas, cada encima cataliza unha determinada reacción, mesmo poden ser distintas ao catalizar a mesma reacción en distintos tecidos.

As encimas, E, presentan lugares activos que poden ocupar as moléculas sobre as que actúan, chamadas substrato, S. As moléculas substrato únense primeiramente ao encima, creando unha complexo encima-substrato, que chamamos, ES. Este complexo evoluciona dando de novo a encima e os produtos da reacción, P.

O mecanismo sería o seguinte:

   Por exemplo, a lactasa é a encima que nos permite asimilar a lactosa do leite. Primeiro fórmase un complexo lactosa-lactasa, a molécula de lactosa encaixa na lactasa, que debilita os seus enlaces dando lugar posteriormente aos produtos, glicosa e galactosa, que son monosacáridos que podemos asimilar. Os intolerantes á lactosa carecen desta encima, podendo sufrir trastorno intestinais moi molestos. Hoxe en día dispoñemos de leites sen lactosa. Pero non é que teñamos vacas que producen leite sen lactosa, engadímoslle na industria a encima lactasa para que elimine a lactosa que contén o leite.

 

Principal Enunciados
WWW.ALONSOFORMULA.COM
Formulación Inorgánica  Formulación Orgánica 
Formulación Inorgánica  Formulación Orgánica 
Formulació Inorgánica  Formulació Orgánica 
Ezorganikoaren Formulazioa  Nomenclature of Inorganic Q. 
Física y Química de ESO  Física e Química de ESO 
FQ de 1º de Bachillerato  FQ de 1º de Bacharelato 
Química de 2º de Bachillerato  Prácticas de Química