| Poida que vises algunha vez un sinal coma esta.
Este sinal indícanos que transitamos por unha forte pendente,
por unha costa importante. Supón que é unha pendente constante do 10%. Que significa?
Unha pendente do 10% significa que ascendemos 10m logo de percorrer 100m en horizontal.
Como calcular a pendente dun triángulo coma este?
Coidado! o 10% de pendente non se corresponde cun ángulo de 10º. Como calcular o ángulo? Podémolo calcular a partir da
tanxente
Cal será o ángulo correspondente a unha pendente do 10%?
Agora tócache a ti. Determina a pendente en porcentaxe e en ángulo das rúas da túa cidade máis
pendentes.
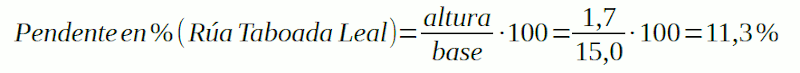
Para facelo podes sacar fotos dos triángulos que debuxan as pedras nas rúas empinadas. Logo en casa mides distancias, a base e a altura deses triángulos, e fas os cálculos. Déixoche para probar a foto da pendente da
Rúa Taboada Leal de Vigo.
Obtiven os seguintes datos:
Unha das rúas máis empinadas de Vigo, Rúa Chile
Obtiven os seguintes datos:
Tramo final da Rúa Chile
Obtiven os seguintes datos:
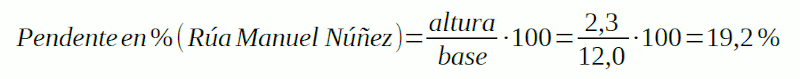
Otra rúa de gran pendente, Rúa Manuel Núñez
Obtiven os seguintes datos:
Nas gráficas lineais tamén podemos atopar a pendente,
pero neste caso non a damos en porcentaxe, dámola en tanto por un.
Temos a seguinte táboa de valores:
Representamos os puntos nunha gráfica:
Para calcular a pendente debuxamos un triángulo
entre dous puntos calquera da recta.
A altura entre a base dános a pendente. neste caso:
Se a gráfica curta ao eixo de ordenadas no valor
cero de abscisas esa será a ordenada na orixe. No noso caso é:
A ecuación da recta é:
onde X, é a variable independente, que
colocamos no eixo de abscisas, ou eixo horizontal. Y, é a variable
dependente, que colocamos no eixo de ordenadas, ou eixo vertical.
a, é a pendente da recta. b, é a ordenada na orixe.
No noso caso a ecuación da recta é:
Podemos representar a gráfica coa liña de tendencia
e coa ecuación da liña da gráfica.

|