| En el estudio de los movimientos intervienen energías
asociadas a los cuerpos. Pensemos en un coche en movimiento, la energía debida al movimiento
le permite realizar cambios en otros cuerpos, como cuando, por
desgracia, choca con
otro. Estos impactos son más graves cuando el vehículo va a más
velocidad, por tanto debe haber alguna relación entre la velocidad y su
energía. Esta energía debida a la velocidad la denominamos energía cinética.
La energía cinética es la energía que tiene un cuerpo por el
hecho de estar en movimiento.
Fíjate que la energía cinética es proporcional a la masa del
cuerpo, cuanta más masa tenga más energía puede comunicar, pero
también es proporcional al cuadrado de la velocidad, de forma que
cuando la velocidad se duplica la energía se cuadriplica, imagina el
incremento del riesgo en la conducción cuando nos excedemos en la
velocidad.
En unidades del SI, cuando la masa está en kg y la velocidad
en m/s la energía cinética viene dada en J.
Los cuerpos también sufren fuerzas por estar en un lugar
determinado. Por ejemplo un cuerpo en un punto cualquiera de un campo
gravitatorio sufre una fuerza de atracción. También sufre fuerzas de
atracción y repulsión un cuerpo cargado en un campo eléctrico, o un
cuerpo magnetizado en un campo magnético. En estos casos esos cuerpos
también presentan una energía debida a la posición que ocupan en ese
campo de fuerzas. Esta energía se denomina energía potencial.
La energía potencial es la energía que tiene un cuerpo debido a
la posición que ocupa en un campo gravitatorio.
Dentro de un campo gravitatorio los cuerpos siempre tienen esta
energía. Cuando un cuerpo está en reposo no es fácil deducir esta
energía, piensa en un libro que está sobre una mesa. Pero imagina que
está en equilibrio sobre el borde de la mesa. Si cae esa energía que
tenía, digamos en potencia, de ahí lo de potencial, se pone de
manifiesto moviendo el cuerpo hacia la Tierra. La energía potencial
depende de la altura que alcanza el cuerpo sobre el punto al que pueda
caer dicho cuerpo. Tendremos que tener siempre en cuenta esta referencia
del punto más bajo al que cae el cuerpo.
En unidades del SI, cuando la masa está en kg, g en m/s2
o N/kg y la altura en m la energía potencial viene dada
en J.
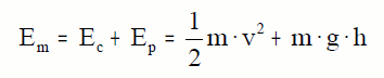
La suma de la energía cinética y la energía potencial se
denomina energía mecánica.
Cuando un cuerpo cae libremente, o desliza sin fuerzas de rozamiento,
es decir, cuando sólo actúa la fuerza del peso su energía mecánica se conserva.
Cuando la única fuerza que realiza trabajo sobre un cuerpo es el
peso la energía mecánica se conserva.
¿Qué ocurre cuando una pelota cae libremente desde una determinada
altura? Si suponemos nulas las fuerzas de rozamiento del aire la
energía potencial en el punto más alto se va convirtiendo, a medida
que desciende, en energía cinética. Esta energía cinética será
máxima cuando llegue al suelo. La velocidad será máxima al entrar en
contacto con el suelo. Al llegar al suelo si el choque es elástico la
pelota rebota y alcanza la misma altura desde la que cayó. Si no
alcanza la misma altura, alcanza una altura menor, es porque parte de la
energía la pierde al deformarse al entrar en contacto con el suelo y se
disipa en forma de calor.
Observa la siguiente simulación, en ella puedes comprobar como la
energía mecánica se conserva. Si hay fuerzas de rozamiento la energía
mecánica se va convirtiendo en energía calorífica.
SIMULACIÓN:
ENERGÍA MECÁNICA, en phet.colorado.edu

|