|
- CONCEPTOS
-
SISTEMA INTERNACIONAL DE UNIDADES
- ANÁLISIS DIMENSIONAL
- NOTACIÓN CIENTÍFICA
-
CÓMO PASAR UN NUMERO A NOTACIÓN CIENTÍFICA
-
CÓMO PASAR DE NOTACIÓN CIENTÍFICA A UN NUMERO DECIMAL
-
COMPARAR NÚMEROS EN NOTACIÓN CIENTÍFICA
-
LA NOTACIÓN CIENTÍFICA EN LA CALCULADORA
- CIFRAS SIGNIFICATIVAS
-
CIFRAS SIGNIFICATIVAS EN OPERACIONES
- CAMBIO DE UNIDADES
-
MÉTODO DE LOS FACTORES DE CONVERSIÓN
- MEDIDAS Y
ERRORES
- CAMBIADOR DE UNIDADES
|
|
En este tema vamos a tratar de las medidas. ¿Pero qué
medidas pueden ser más grandes que las que afectan al universo? En este
campo destacó una mujer: Henrietta Swan Leavitt. Sus estudios sobre las
Cefeidas, estrellas variables, permitió el cálculo de las distancias
estelares y de las dimensiones de nuestra propia galaxia, la Vía Láctea.
Trabajó en el Observatorio del Harvard College, junto con otras mujeres
conocidas como las "computadoras de Harvard". Sus trabajos los firmaban
sus superiores, que eran hombres. Sus trabajos hubieran pasado
desapercibidos de no ser porque su superior Pickering tuvo la
deferencia de indicar en una nota que el trabajo fuera preparado por la
sta. Leavitt.
|
|
CONCEPTOS
|
- Fenómenos físicos: son procesos de cambio que experimenta la
materia en los que no hay cambio en la composición fundamental. Por ejemplo:
el movimiento, aumento de la temperatura o la atracción magnética de un cuerpo,
- Fenómenos químicos: son procesos de cambio que experimenta la
materia en los que si hay cambio en la composición fundamental. Por ejemplo:
fumar un cigarrillo, la digestión o la oxidación del hierro.
- La Física es la ciencia que se encarga de estudiar los fenómenos
físicos y las leyes que los rigen.
- La Química es la ciencia que se encarga de estudiar los fenómenos
químicos y las leyes que los rigen.
- Magnitud física: es toda propiedad de la materia que se puede
cuantificar, es decir, traducir a números, y por lo tanto medir.
- Medir: es un proceso en el que se compara una cantidad de una
magnitud con otra cantidad de la misma magnitud que tomamos como
referencia, y que llamamos unidad.
- Unidad: es cualquier cantidad de magnitud que consideramos
arbitrariamente como referencia de comparación.
- Sistema de unidades: Conjunto ordenado de magnitudes básicas y unidades a
partir de las cuales podemos establecer las demás.
- Sistema Internacional de Unidades: Sistema adoptado por la XI Conferencia
General de Pesos y Medidas (París, 1960) En 1971 se añadió el mol como
unidad.

|
|
SISTEMA INTERNACIONAL DE
UNIDADES
|
|
Magnitudes básicas del Sistema Internacional de Unidades |
|
MAGNITUD |
UNIDAD |
SÍMBOLO |
| Longitud |
metro |
m |
| Masa |
kilogramo |
kg |
| Tiempo |
segundo |
s |
| Intensidad de corriente eléctrica |
amperio |
A |
| Temperatura termodinámica |
grado Kelvin |
K |
| Cantidad de sustancia |
mol |
mol |
| Intensidad luminosa |
candela |
cd |
|
DEFINICIONES |
| |
DEFINICIÓN
PREVIA |
DEFINICIÓN
DESDE 2019 |
|
metro |
El metro es la distancia recorrida por la luz
en el vacío en
1/299.792.458 segundos. |
El metro, símbolo m, es la unidad SI de
longitud. Se define al fijar el valor numérico de la velocidad de la luz en
el vacío, c, en 299 792 458, cuando se expresa en la unidad m·s−1,
donde el segundo se define en función de la frecuencia del Cesio ΔνCs.
c = 299 792 458 m·s−1 |
|
kilogramo |
Masa del kilogramo patrón internacional, que se
conserva en Sèvre, cerca de Paris. |
El kilogramo, símbolo kg, es la unidad SI
de masa. Se define al fijar el valor numérico de la constante de Planck, h,
en 6,626 070 15·10−34, cuando se expresa en la unidad J·s,
igual a kg·m2·s−1, donde el metro y el segundo
se definen en función de c y ΔνCs h = 6,626 070
15·10−34 J·s |
|
segundo |
El segundo es la duración de 9.192.631.770
periodos de radiación correspondientes a la transición entre los dos niveles
hiperfinos del estado fundamental del átomo de cesio 133. |
El segundo, símbolo s, es la unidad SI de
tiempo. Se define al fijar el valor numérico de la frecuencia de la
transición hiperfina del estado fundamental no perturbado del átomo de
cesio-133, ΔνCs, en 9 192 631 770, cuando se expresa en
la unidad Hz, igual a s−1. ΔνCs =
9 192 631 770 s−1 |
|
amperio |
El amperio es aquella corriente constante
que, mantenida en dos conductores paralelos rectos de longitud infinita, de
sección circular despreciable, y colocados a 1 m de distancia en el vacío,
produciría entre estos conductores una fuerza igual a 2·10−7
newton por metro de longitud. |
El amperio, símbolo A, es la unidad SI de
corriente eléctrica. Se define al fijar el valor numérico de la carga
elemental, e, en 1,602 176 634 ·10−19, cuando se expresa en
la unidad C, igual a A·s, donde el segundo se define en función de ΔνCs.
e = 1,602 176 634 ·10−19 C |
|
kelvin |
Fracción 1/273,16 de la temperatura termodinámica
del punto triple del agua. |
El kelvin, símbolo K, es la unidad SI de
temperatura termodinámica. Se define al fijar el valor numérico de la
constante de Boltzmann, k, en 1,380 649 ·10−23, cuando se expresa
en la unidad J·K−1, igual a kg·m2·s−2·K−1,
donde el kilogramo, el metro y el segundo se definen en función de h, c y ΔνCs.
k = 1,380 649 ·10−23 J·K−1 |
|
mol |
Cantidad de sustancia de un sistema que
contiene
tantas entidades elementales como átomos hay en 0,012 kg de carbono−12. Se
debe especificar el tipo de las entidades elementales, ya sean átomos,
moléculas, iones, electrones, u otras. |
El mol, símbolo mol, es la unidad SI de
cantidad de sustancia. Un mol contiene exactamente 6,022 140 76 ·1023
entidades elementales. Esta cifra es el valor numérico fijo de la constante
de Avogadro, NA, cuando se expresa en la unidad mol−1,
y se denomina número de Avogadro.
La cantidad de sustancia, símbolo n, de un sistema, es una medida del número
de entidades elementales especificadas. Una entidad elemental puede ser un
átomo, una molécula, un ion, un electrón, cualquier otra partícula o grupo
especificado de partículas.
NA = 6,022 140 76 ·1023 entidades elementales. |
|
candela |
Intensidad luminosa, en una dirección dada, de una fuente que emite una radiación monocromática de frecuencia 540·1012 hercios y cuya intensidad energética en esa dirección es 1/683 vatios por estereorradián. |
La candela, símbolo cd, es la unidad SI de
intensidad luminosa en una dirección dada. Se define al fijar el valor
numérico de la eficacia luminosa de la radiación monocromática de frecuencia
540·1012 Hz, Kcd, en 683, cuando se expresa en la
unidad lm·W−1, igual a cd·sr·W−1, o a cd·sr·kg−1·m−2·s3,
donde el kilogramo, el metro y el segundo se definen en función de h, c y ΔνCs.
Kcd = 683 lm·W−1 |
Para saber más:
La revisión del sistema internacional de unidades, Estefanía de Mirandés, BIPM,
Centro Español de Metrología, 18 de Mayo 2018
El Sistema Internacional de Unidades, SI. Centro Español de Metrología, CEM
Las unidades de las magnitudes fundamentales se definen actualmente a
partir de fenómenos físicos, desligándolas de un patrón físico que se
guardaba en algún lugar conocido. Son así más fáciles de reproducir en
cualquier lugar del mundo. Para definirlas se establece un valor fijo
para las constantes físicas a partir de las que se definen.
 |
|
ANÁLISIS
DIMENSIONAL
|
|
El Sistema Internacional de Unidades está formado por un conjunto de
magnitudes básicas o fundamentales para las que se definen sus correspondientes unidades. Las demás magnitudes se denominan
magnitudes derivadas. Estas magnitudes derivadas se llaman así porque tienen una definición matemática en función de las magnitudes fundamentales.
Por ejemplo la longitud es una magnitud fundamental, pero el volumen es una magnitud derivada, pues lo podemos calcular multiplicando tres longitudes. La unidad de longitud es el metro y la de volumen el metro cúbico,
m3.
La densidad se calcula dividiendo la masa de un cuerpo entre su volumen, por tanto es una magnitud derivada, su unidad será el kg/m3.
Las magnitudes derivadas tienen unas unidades que siempre se
pueden escribir en función de las unidades de las magnitudes
fundamentales, aunque a veces tengan nombres específicos como: newton, voltio,
julio, etc.
Mediante el análisis dimensional podemos encontrar la relación
de una magnitud derivada cualquiera con las magnitudes fundamentales.
Las magnitudes fundamentales tienen unas dimensiones que
representamos en esta tabla:
|
Magnitudes fundamentales |
| Magnitud |
Dimensión |
| Longitud |
L |
| Masa |
M |
| Tiempo |
T |
| Intensidad de corriente eléctrica |
I |
| Temperatura termodinámica |
Θ |
| Cantidad de sustancia |
N |
| Intensidad luminosa |
J |
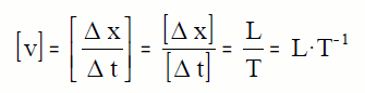
Análisis dimensional de la velocidad:
Análisis dimensional de la aceleración:
Análisis dimensional de la fuerza:
Análisis dimensional de la energía:
Una utilidad importante del análisis dimensional es comprobar
la homogeneidad de las ecuaciones físicas. Los dos miembros de cualquier
ecuación física deben de tener las mismas dimensiones para ser homogéneas.
En cursos anteriores utilizamos el método científico para
encontrar la ecuación que nos da el período del péndulo. La ecuación que
encontramos experimentalmente y que daba buenos resultados al utilizarla para
realizar predicciones era:
Hagamos el análisis dimensional de los dos miembros de la
ecuación:
Como vemos no tienen las mismas dimensiones los dos miembros de
la ecuación. No es una ecuación homogénea, y por tanto no es correcta aunque
nos de buenos resultados.
La ecuación correcta para pequeños ángulos es:
Hagamos el análisis dimensional de los dos miembros de la
ecuación:
Esta ecuación si es homogénea, pues los dos miembros tienen
las mismas dimensiones.
Por qué la primera ecuación experimental nos daba tan buenos
resultados, pues porque la raíz de g coincide casi con el número pi.
EJERCICIOS
PARA PRACTICAR

|
|
NOTACIÓN CIENTÍFICA
|
|
Cuando tenemos que expresar cantidades muy grandes o muy pequeñas es muy útil
emplear un tipo de expresiones que se denominan notación científica.
¿En qué consiste? Consiste en escribir cualquier número como producto de
un
decimal y una potencia de diez. El decimal debe tener sólo una cifra antes de la coma,
y esa cifra no puede ser cero. Puede haber potencias de exponente positivo y potencias de
exponente negativo, para valores inferiores a la unidad.
Están bien escritos como notación científica los números:
2,5·102 3,45·1012
-6,03·10-2 1,002·10-3
Están mal escritos como notación científica los números:
0,5·104 23,87·105
-0,03·10-8 154,2·10-3
EJERCICIOS
1

|
|
CÓMO PASAR UN NUMERO A NOTACIÓN CIENTÍFICA
|
|
25475,45: Si el número es mayor que 1, desplazamos la coma decimal cara a
la izquierda hasta la primera cifra. Al desplazarla cara a la izquierda, dividimos,
entonces luego multiplicamos por diez elevado al número de cifras sobre las que se
desplazó la coma. 2,547545·104
0,00057: Si el número es menor que 1, desplazamos la coma decimal
hasta después de la primera cifra distinta de cero. Al desplazarla cara a la
derecha, multiplicamos, entonces luego multiplicamos por diez elevado al número de cifras sobre
las que se desplazó la coma con signo negativo. 5,7·10-4
Recuerda que la potencia de exponente negativo es el inverso de la potencia de exponente positivo:
10-2 = 1/102
EJERCICIOS 2,
EJERCICIOS 3
|
|
CÓMO PASAR DE NOTACIÓN CIENTÍFICA A UN NUMERO DECIMAL
|
|
3,985·105: Si el exponente es positivo, desplazamos la coma cara
a la derecha tantos lugares como indica el exponente, completamos con ceros si
es necesario. 398500
2,0048·10-5: Si el exponente es negativo, desplazamos la coma cara
a la izquierda tantos lugares como indica el exponente. 0,000020048
EJERCICIOS
5
|
|
COMPARAR NÚMEROS EN NOTACIÓN CIENTÍFICA
|
|
La notación científica es muy práctica para comparar números muy grandes
o muy pequeños, bastará comparar el decimal si los exponentes coinciden, y bastará comparar
los exponentes si estos no coinciden.
2,5·102 < 4,5·102 < 8,25·102 < 6,4·103
< 1,15·105
¿Cómo usar la notación científica en las calculadoras? Concretaré para
el uso de las calculadoras CASIO, no por hacerle propaganda si no por ser las
más comunes entre mi alumnado.
EJERCICIOS 4

|
|
LA NOTACIÓN CIENTÍFICA
EN LA CALCULADORA
|
 |
 |
| 123456789 x 386 = 4,765432055·1010 |
Cuando una operación da un resultado que ocupa más dígitos que
los que
entran en la pantalla la calculadora presenta el resultado en notación científica.
Aunque la calculadora lo presenta como = 4,765432055 10
Donde no aparece ni el punto del producto ni la base 10. |
 |
 |
| Hoy en día ya hay modelos que incluyen el signo del producto
y la base 10 en la pantalla, por eso es fundamental conocer bien la calculadora propia. ¡Ah, un
consejo! Nunca pidas
prestada una calculadora que no conozcas para hacer un examen, sobre todo si es un examen importante. |
Si tienes que introducir un número que esté en notación científica:
introduce el decimal, pulsa la tecla EXP e introduce el exponente. |
Un error muy
frecuente es introducir también el signo del producto y la base 10, con lo que
consigues
multiplicar todo por diez. La tecla EXP lo que hace es introducir precisamente
el signo del producto y la base 10, nosotros sólo tenemos que introducir el decimal
y el exponente. Pienso que precisamente el nombre de la tecla (EXP) es el
que lleva a
confusión, sería mejor que se denominara por ejemplo (·10x). Queda
dicho por si algún ingeniero de CASIO visita esta humilde página, muchos alumnos
le
agradecerían el cambio.
 |
 |
| Si quieres trabajar siempre en notación científica
lo puedes hacer a través del
modo SCI: pulsa la tecla MODE |
y luego el número correspondiente al modo SCI,
a
veces ese número hay que pulsarlo varias veces. Para salir del modo SCI pulsa modo NORM normal. |
Creo que hay alguien en CASIO que comparte mis ideas.
Ya tenemos calculadoras que cambiaron la tecla de (EXP) por la tecla más
intuitiva de (·10x). Mis reconocimientos para CASIO, muchos
estudiantes se lo van a agradecer.
 |
 |
| Nuevos modelos de calculadora
sin la tecla de (EXP) que tantos errores favorecía. Ya nos podemos
olvidar de esta tecla que nos inducía a pensar solo en el exponente. |
Acierto de CASIO corregir
esta tecla que tantas dudas creaba. |
|
|
CIFRAS SIGNIFICATIVAS |
|
Cuando realizamos una medida experimental cometemos siempre errores que producen
una imprecisión de la medida. No hay por lo tanto medidas exactas. Hay medidas
más precisas y menos precisas. Se representamos una medida por un número todas
las cifras deben conocerse con certeza menos a última que será dudosa. Llamaremos cifras significativas a
todas las cifras de una medida que se conocen con certeza más la cifra
dudosa, que será la de la derecha.
Analicemos estas medidas:
5,234m: Las cifras 5, 2 y 3 se conocen con certeza, la cifra 4
es dudosa, pero todas
son significativas.
12,340m: Las cifras 1,2,3 y 4 se conocen con certeza, la cifra 0
es dudosa, pero
todas son significativas.
0,025m: Los ceros anteriores a la primera cifra distinta de cero
no son cifras
significativas. Sólo son cifras significativas 2 y 5.
2,5·10-2m: Cuando un número lo escribimos en notación científica todas
las cifras del
decimal son significativas.
En los datos de un problema pueden aparecer las siguientes medidas: 2 m; 2,0 m; 2,00
m; 2,000 m
No son iguales, aunque tengan el mismo valor.
- 2m indica que la imprecisión de la
medida es de ±1 m, y tiene una cifra significativa.
- 2,0m indica que la imprecisión de la medida es de ±0,1 m, y tiene dos cifras
significativas.
- 2,00m indica que la imprecisión de la medida es de ±0,01 m, y tiene tres cifras
significativas.
- 2,000m indica que la imprecisión de la medida es de ±0,001 m, y tiene cuatro
cifras significativas.
EJERCICIOS
6, EJERCICIOS
7, EJERCICIOS
8
|
|
CIFRAS SIGNIFICATIVAS EN
OPERACIONES |
|
Cuando realizamos operaciones con la calculadora no debemos conservar todas
las cifras decimales que obtenemos, pero tampoco debemos perder cifras que son
significativas. Por lo que es conveniente seguir las siguientes reglas:
- En sumas y restas: Se suman o restan las medidas y se redondea el resultado
para que tenga tantas cifras decimales como el número que menos decimales
tenga:
2,035m +
0,04m + 12,9873m = 15,0623 = 15,06m
34,987m -
25,46m = 9,527 = 9,53m
- En productos y cocientes: Se multiplican o dividen las medidas y se
redondea el resultado para que tenga tantas cifras significativas como el número que menos cifras significativas
tenga:
2,25m · 14693m = 33059,25 = 33100m2
45,38m : 2,34s = 19,393162 = 19,4m/s
EJERCICIOS
9, EJERCICIOS
10

|
|
CAMBIO
DE UNIDADES |
|
Para transformar las unidades puedes emplear el método
de los
factores de conversión. Consiste en multiplicar la medida que quieres transformar
por la fracción que contiene la equivalencia entre la unidad que quieres eliminar
y la unidad nueva. Tienes que conocer bien las equivalencias entre múltiplos y submúltiplos
de las unidades.
| Prefijo |
Símbolo |
Factor multiplicador |
| Tera- |
T |
1012 u |
| Giga- |
G |
109 u |
| Mega- |
M |
106 u |
| Kilo- |
k |
103 u |
| Hecto- |
h |
102 u |
| Deca- |
da |
10 u |
| Unidade |
u |
1 u |
| Deci- |
d |
10-1 u |
| Centi- |
c |
10-2 u |
| Mili- |
m |
10-3 u |
| Micro- |
m |
10-6 u |
| Nano- |
n |
10-9 u |
| Pico- |
p |
10-12 u |
El factor multiplicador es el número por el que tienes que multiplicar la
medida para transformarla en la unidad.
Por ejemplo, 2 Mm = 2·106 m o
5 nm = 5·10-9 m
Para representar las equivalencias, es más sencillo que se le dé
valor unidad a la unidad más grande y se iguale con el número de veces que
contiene a la de la unidad más pequeña. Así evitas potencias con exponente negativo.
Es preferible expresar 1km = 103 m que 1m = 10-3 km, aunque
las dos equivalencias son válidas.
Ejemplos de equivalencias:
| 1 kg = 106 mg |
1 dam = 107 mm |
1 Gs = 1011 cs |
1 V = 103 mV |
| 1 g = 109 ng |
1 km = 105 cm |
1 ano = 365 días |
1 kV = 105 cV |
| 1 Mg = 106 g |
1 mm = 109 pm |
1 h = 3600 s |
1 MV = 106 V |
EJERCICIOS
11, EJERCICIOS
12, EJERCICIOS
13, EJERCICIOS
14, EJERCICIOS
15
|
|
MÉTODO
DE LOS FACTORES DE CONVERSIÓN |
|
Para cambiar de unidades multiplicamos la medida que queremos transformar por
el factor de conversión.
Un factor de conversión es una fracción que contiene la equivalencia
entre las unidades que queremos transformar. En el denominador la unidad que
queremos eliminar y en el numerador la unidad a la que queremos cambiar.
Cuando la unidad es una fracción de unidades multiplicamos por tantos
factores de conversión como unidades queramos transformar, teniendo en cuenta que
las unidades que queremos eliminar se ponen en el factor de conversión en el lado
contrario a como aparecen en la unidad original para que se puedan eliminar al realizar
el producto.
La equivalencia entre km y m es: 1 km = 103 m

La equivalencia entre
(km) y (m) es: 1 km = 103 m. Y la
equivalencia entre (h) y (s) es: 1 h = 3600 s.

La equivalencia entre
( km) y ( m) es: 1 km = 103 m. Y la equivalencia entre
(h) y (s) es: 1 h = 3600 s.

Es importante
también saber pasar de complejo de h:min:s a horas, y viceversa, ya que en la vida diaria nos manejamos en horas, minutos y segundos. Como por ejemplo, cuando abriste esta página eran las:
. ¿Que hacer en estos casos?
Pasar de complejo a incomplejo: ¿Cuántas horas son 2h:25min:30s?
a) Pasa los minutos a horas, y los segundos a horas y suma: 2h:25min:30s = 2h + 25min · 1h/60min + 30s · 1h/3600s = 2,425h
b) O también, aprovechar la tecla (º ' '') de grados, minutos y segundos de la calculadora, que también sigue el sistema
sexagesimal:
2h:25min:30s = 2 (º ' '') 25 (º ' '') 30 (º ' '') = 2,425h
Pasar de incomplejo a complejo: ¿Cuántas h:min:s son 1,755h?
a) Pasa los decimales de horas a minutos, y los decimales de minutos a segundos:
1,755h = 1h + 0,755h · 60min/1h = 1h + 45,3 min = 1h + 45min + 0,3 min · 60s/1min =1h 45min 18s
b) O también, aprovechar la tecla (º ' '') de grados, minutos y segundos de la calculadora, que también sigue el sistema
sexagesimal:
1,755h = 1,755 (º ' '') (=) (º ' '') = 1º 45º 18 = 1h 45min 18s
EJERCICIOS
PARA PRACTICAR

|
|
MEDIDAS Y ERRORES |
|
Debemos ser
conscientes que nunca podremos realizar una medida que nos dé un valor exacto
de lo que medimos. Estamos condicionados por los aparatos de medida que
utilizamos. Por ejemplo, si medimos con una cinta métrica que está graduada en
centímetros nunca podremos conseguir una precisión de milímetros en la
medida.
Por tanto,
cuando realizamos una medida cometemos errores. No porque queramos, sino porque
es así el proceso de medida.
Si realizamos
una única medida cometemos una imprecisión que equivale a la división más
pequeña del aparatos de medida. Fíjate siempre en cuál es la división más
pequeña de los aparatos de medida que utilices.
Por ejemplo,
medimos un folio con una regla que aprecia milímetros. Obtenemos un resultado
de 29,7 cm. ¿Cómo debemos indicar esta medida? Esta longitud la deberíamos
indicar de la siguiente forma: L = 39,7 ± 0,1 cm
0,1 cm es la imprecisión que cometemos cuando
realizamos medidas con una regla graduada en milímetros. Esta cantidad es el error
absoluto que cometemos cuando hacemos esta medida.
Si hacemos una única medida el error absoluto
es equivalente a la imprecisión del aparatos de medida, o a su división más
pequeña.
Como nunca conoceremos el valor exacto de una
medida podemos acercarnos a ese valor repitiendo varias veces la medida, luego
calculamos la media aritmética, y ese será el valor que tomamos como valor
exacto o real.
Para una serie de medidas, el error absoluto es
la diferencia entre el valor obtenido en una medida y el valor exacto,
calculado con la media aritmética.
El error absoluto será como mínimo el valor de
la división más pequeña del aparato de medida.
Las medidas pueden ser muy diferentes, en general
medidas grandes tendrán errores absolutos grandes y medidas pequeñas tendrán
errores absolutos pequeños. Si queremos saber lo buena o mala que es una medida
debemos calcular el error relativo que relaciona el error absoluto de una medida
con el valor exacto de la medida, y se suele dar en tanto por cien. Cuanto menor
sea el error relativo mejor, de más calidad, será la medida.
El error relativo es el cociente en porcentaje
del error absoluto de una medida y el valor exacto de la medida.
EJERCICIOS
PARA PRACTICAR

|
|
CAMBIADOR DE
UNIDADES |
|
Cambiador de
unidades (utiliza como separador de decimales el punto):
|
 |
 |
|