|
- TIPOS DE MOVIMIENTOS
- MOVIMIENTO RECTILÍNEO UNIFORME
- GRÁFICAS DEL
M.R.U.
-
PROBLEMAS DE ALCANCES Y CRUCES EN EL
M.R.U.
-
MOVIMIENTO RECTILÍNEO UNIFORMEMENTE ACELERADO
- GRÁFICAS DEL
M.R.U.A.
- MOVIMIENTO VERTICAL
- CONVENIO DE SIGNOS
- COMPOSICIÓN DE MOVIMIENTOS
- MOVIMIENTO CIRCULAR UNIFORME
-
MOVIMIENTO CIRCULAR UNIFORMEMENTE ACELERADO
- MOVIMIENTO ARMÓNICO SIMPLE
|
|
Hablando de movimientos, quizá no hubo movimiento más grande en la historia
que llevar a un hombre a la Luna. Tan extraordinario parece que algunos aún
lo niegan. Sin el esfuerzo de muchísimas personas no hubiera sido posible.
En plena guerra fría entre los dos grandes bloques no se escatimaron
esfuerzos. Y entre estos destaca el esfuerzo y empeño de un grupo de mujeres
afroamericanas, llamadas las Colored Computers (computadoras negras). En una
época previa a los ordenadores se dedicaban a hacer todo tipo de cálculos
matemáticos sin los cuales no sería posible la carrera espacial como la
conocemos. Tres de estas mujeres matemáticas: Katherine Johnson, Dorothy
Vaughan y Mary Jackson, fue llevada al cine en 2016 en Hidden Figures
(Figuras ocultas), basada en el libro de no ficción del mismo nombre de
Margot Lee Shetterly. El siguiente documental nos recuerda la vida de una de
ellas, Katherine Johnson.
Para valorar el mérito de estas mujeres es preciso recordar
las dificultades que tenían en aquella época las mujeres para acceder a la
universidad, algunas ni lo permitían, y si eran negras debían de ir a
centros para negros. Las barreras que tuvieron que romper estaban a la
altura de la dificultad de llevar el hombre a la Luna. Quizá debiéramos
decir que llevamos el hombre a la Luna a hombros de estas extraordinarias
mujeres.
|
|
TIPOS DE MOVIMIENTOS |
| Vamos a aplicar los conocimientos adquiridos en el tema
anterior al estudio de movimientos concretos. Los movimientos pueden ser
muy complejos, Pero aun en estos casos los podemos descomponer en
movimientos más sencillos.
Observa este vídeo, es la carrera más rápida de la historia, en ella
Usain Bolt batió el récord mundial de 100m lisos, era el 16 de agosto de
2009 en los campeonatos mundiales de atletismo en Berlín.
En cualquier movimiento complejo podemos encontrar tramos que
pertenecen a alguno de estos movimientos más sencillos:
- Movimiento rectilíneo uniforme. (MRU)
- Movimiento rectilíneo uniformemente acelerado. (MRUA)
- Movimiento circular uniforme (MCU).
- Movimiento circular uniformemente acelerado (MCUA).
- Movimiento armónico simple (MAS).

|
|
MOVIMIENTO RECTILÍNEO
UNIFORME |
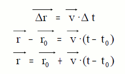
| Movimiento rectilíneo uniforme (MRU) es aquel que tiene el vector velocidad constante. El módulo, la dirección y el sentido del vector velocidad son constantes, por lo tanto, su trayectoria será recta.
En este movimiento sólo tenemos una ecuación, que relaciona: posiciones, inicial y final, instantes, inicial y final, y la velocidad.
Esta ecuación es semejante a la de la velocidad media, ya que si la
velocidad es constante coincide también con la velocidad media. La
ecuación vectorial es:
En esta ecuación están todas las variables a tener en cuenta en
este movimiento. Tenemos por tanto una sola ecuación.
La expresión que nos da la posición en función del tiempo es la ecuación del movimiento. Ya que si le damos valores al tiempo obtenemos los valores de las posiciones por donde pasa el móvil.
Como la trayectoria es una recta podemos trabajar con escalares sobre el eje X.
La ecuación del movimiento con valores escalares es:
Fíjate que sólo tenemos una ecuación, en la que debemos
saber despejar cualquiera de las variables. Para la resolución de problemas
será muy útil hacer un dibujo esquemático donde colocar los datos,
distinguiendo bien que datos son iniciales y que datos son finales.
SIMULACIÓN
DE EDUCAPLUS: MOVIMIENTO RECTILÍNEO UNIFORME
EJERCICIO 1: En la simulación anterior fija una
velocidad y una posición inicial. Dale a "comenzar". Con los
datos conseguidos representa la gráfica x-t (x en ordenadas y t en
abscisas)

|
|
GRÁFICAS DEL
M.R.U. |
| La gráfica posición-tiempo o gráfica x−t Es una función lineal. A medida que pasa el tiempo la posición varía de
una forma proporcional. En tiempos iguales se recorren distancias iguales. Fíjate como en esta gráfica cada 5 segundos se recorren 20 metros. La pendiente es constante, como la velocidad.
Si tomamos un intervalo cualquiera, por ejemplo, de 5 a 15 segundos, el triángulo formado por la variación de la distancia, la variación del tiempo
y la gráfica nos permite calcular la velocidad. La altura, o variación de la distancia,
Δx = x−xo= 60m−20m = 40m, entre la base, o variación del tiempo,
Δt = t−to = 15s−5s = 10s, nos da la pendiente, 4m/s, que es la velocidad.
v = Δx/Δt = 40m/10s = 4m/s
SIMULACIÓN
DE EDUCAPLUS: MRU - GRÁFICA POSICIÓN-TIEMPO
EJERCICIO 2: En la simulación fija una velocidad.
Elabora una tabla de datos x-t, dándole a "play" y
"pausa" repetidamente. Representa la gráfica con los valores de
la tabla.
La gráfica velocidad-tiempo o gráfica v−t
Es una función constante. Para cualquier instante la velocidad es 4m/s.
Para cualquier intervalo de tiempo el área bajo la gráfica
velocidad-tiempo nos da la distancia recorrida en el mismo.
En este caso el área es un rectángulo, el producto de la
base por la altura nos da la distancia recorrida. x - xo = v
(t - to)
SIMULACIÓN
DE EDUCAPLUS: MRU - GRÁFICA VELOCIDAD-TIEMPO
EJERCICIOS
PARA PRACTICAR

|
|
PROBLEMAS DE
ALCANCES Y CRUCES EN EL M.R.U. |
| Hay dos tipos de problemas: de alcances, si los dos móviles siguen el mismo
sentido, de
cruces cuando los dos móviles tienen sentidos contrarios.
Lo primero es hacer el esquema con los datos del problema. Escoge un origen de posiciones y un origen de tiempos. Esto es muy importante. Estos orígenes son arbitrarios, pero tienes que tenerlos claros ya que todos los tiempos se deben de contar a partir del origen de tiempos, y todas las posiciones se deben de contar a partir del origen
de posiciones que escojas.
Ten en cuenta, también, el signo de las velocidades. Si tienen distinto sentido, tienen distinto signo.
Sustituye los datos en la ecuación del movimiento para cada móvil. x =
xo + v (t − to)
Tienes dos ecuaciones, con dos incógnitas, que son normalmente, el instante en que se
alcanzan o cruzan,
t, y la posición en la que lo hacen, x.
Esquema para un problema de alcance:
Gráfica para un problema de alcance:
Móvil azul: ¿Cuál es su posición inicial, xo?
xo=0 ¿Cuál es el instante inicial, to? to=0 ¿Cuál es su velocidad,
vazul? vazul=4m/s
Móvil rojo: ¿Cuál es su posición inicial, xo?
xo=30m ¿Cuál es el instante inicial, to? to=0 ¿Cuál es su velocidad,
vrojo? vrojo=2m/s
x = xo + v (t − to)
Móvil azul x= 0 + 4 (t − 0) = 4 t
Móvil rojo x= 30 + 2 (t − 0) = 30 + 2 t
Resolvemos el sistema de dos ecuaciones con dos incógnitas
4 t = 30 + 2 t
4 t - 2t = 30 2t = 30
t = 30/2 = 15s (es el instante en que se alcanzan, medido desde que salen los móviles)
Con este valor de t sustituimos en cualquiera de las ecuaciones:
x= 4 t = 4 m/s · 15s = 60m (es la posición a la que se alcanzan, medida desde donde sale el móvil azul)
Esquema para un problema de cruce:
Gráfica para un problema de cruce:
Móvil azul: ¿Cuál es su posición inicial, xo?
xo=70m ¿Cuál es el instante inicial, to? to=0 ¿Cuál es su velocidad,
vazul? vazul=−5m/s (atención es negativa ya que se acerca al origen de coordenadas)
Móvil rojo: ¿Cuál es su posición inicial, xo?
xo=10m ¿Cuál es el instante inicial, to? to=0 ¿Cuál es su velocidad,
vrojo? vrojo=4m/s
x = xo + v (t − to)
Móvil azul x= 70 − 5 (t − 0) = 70 −
5 t
Móvil rojo x= 10 + 4 (t − 0) = 10 + 4 t
Resolvemos el sistema de dos ecuaciones con dos incógnitas
10 + 4 t = 70 - 5 t
4 t + 5t = 70 - 10 9t = 60
t = 60/9 = 6,67s (es el instante en que se alcanzan, medido desde que salen los móviles)
Con este valor de t sustituimos en cualquiera de las ecuaciones:
x= 10 + 4 t = 10m + 4 m/s · 6,67s = 36,68m (es la posición a la que se alcanzan, medida desde el origen de coordenadas)
EJERCICIOS
PARA PRACTICAR

|
|
MOVIMIENTO RECTILÍNEO UNIFORMEMENTE
ACELERADO |
| Movimiento rectilíneo uniformemente acelerado (MRUA) es aquel que tiene el vector
aceleración constante y la trayectoria es una línea recta.
Para describir este movimiento necesitamos sólo dos ecuaciones. La ecuación de la
aceleración, que relaciona aceleración, velocidades y tiempo, y la ecuación
de la posición que relaciona posiciones, velocidad inicial, aceleración y
tiempos.
Ecuación de la aceleración:
Ecuación de la posición:
Luego veremos como podemos deducir gráficamente esta ecuación.
De estas dos podemos deducir otra ecuación muy práctica que relaciona
velocidades, aceleración y posiciones. Se deduce despejando el tiempo en
la ecuación de la aceleración y sustituyéndolo en la ecuación de la
posición.
Deducción.
EJERCICIOS
PARA PRACTICAR

|
|
GRÁFICAS DEL
M.R.U.A. |
|
Las gráficas v−t representan las velocidades en ordenadas y los
tiempos en abscisas.
La pendiente de esta gráfica es la aceleración, si la pendiente
es constante deducimos que la aceleración es constante. Si la pendiente es
positiva el móvil aumenta la velocidad, si es negativa disminuye la velocidad.
El área bajo esta gráfica nos da la distancia recorrida por el
móvil.
Tenemos dos áreas, un rectángulo y un triángulo.
(x - xo) = vo(t - to) + ½
(v -vo) (t - to)
Como: v - vo = a(t - to)
(x - xo) = vo(t - to) + ½
a(t - to) (t - to)
(x - xo) = vo(t - to) + ½
a(t - to)2
SIMULACIÓN
DE EDUCAPLUS: MRUA - GRÁFICA VELOCIDAD-TIEMPO
EJERCICIO 3: En la simulación fija una aceleración. Elabora
una tabla de datos v-t, dándole a "play" y "pausa"
repetidamente. Representa la gráfica con los valores de la tabla.
La gráfica x−t es una parábola, la forma curva de la misma
indica que varía la pendiente, varía la velocidad, dado que es un movimiento
con aceleración.
SIMULACIÓN
DE EDUCAPLUS: MRUA - GRÁFICA POSICIÓN-TIEMPO
EJERCICIO 4: En la simulación fija una aceleración. elabora
una tabla de datos x-t, dándole a "play" y "pausa"
repetidamente. Representa la gráfica con los valores de la tabla.
SIMULACIÓN
DE EDUCAPLUS: GRÁFICAS MOVIMIENTOS
EJERCICIO 5: Observa las diferentes gráficas de los
diferentes tipos de movimientos que estudiamos.
SIMULACIÓN
DE EDUCAPLUS: LABORATORIO VIRTUAL DE CINEMÁTICA
EJERCICIO 6: En la simulación fija una aceleración, una
velocidad inicial y una posición inicial en las gráficas. Observa como varían
estas magnitudes una vez iniciado el movimiento. Fíjate como cambian las
gráficas al cambiar el signo de las magnitudes.
EJERCICIOS
PARA PRACTICAR

|
|
MOVIMIENTO VERTICAL |
|
Un ejemplo de MRUA es el movimiento vertical. En este movimiento
podemos considerar el movimiento de caída libre, el movimiento de lanzamiento
vertical hacia abajo o el movimiento de lanzamiento vertical hacia arriba. En
estos movimientos la aceleración es la aceleración de la gravedad, g = 9,8m/s2,
que podemos considerar constante en la superficie de la Tierra.
Sabemos que esto sólo es verdad en el vacío, o cuando la
resistencia del aire sea nula. Para cuerpos pesados podemos considerar que la
resistencia del aire es despreciable, pero no para cuerpos ligeros o de gran
superficie, como una pluma o una hoja de papel. Pero si haces una bola con esa
hoja de papel puedes comprobar que cae con la misma aceleración que los cuerpos
pesados.
Universo Mecánico - 2 - La ley de caída de los cuerpos
Debemos definir en estos problemas el sistema de referencia.
Podemos escoger cualquier punto como origen del sistema de referencia y
cualquier sentido como positivo o negativo, pero esto va a condicionar el valor
de las velocidades, distancias y aceleración.
Puede ser muy útil escoger como origen del sistema de
referencia el punto más bajo que alcanza el móvil, como el suelo. El eje
vertical será el eje de alturas. Por encima del origen tenemos alturas
positivas y por debajo del origen alturas negativas. Las velocidades hacia
arriba son positivas, pues aumentan las posiciones, y las velocidades hacia
abajo son negativas, pues disminuyen las posiciones. La aceleración tiene
sentido vertical hacia abajo, pues aumentan en este sentido las velocidades, por
tanto la aceleración tendrá signo negativo.
SIMULACIÓN
DE EDUCAPLUS: CAÍDA LIBRE
EJERCICIO 7: En la simulación fija una cronografía, que te da el número de imágenes por segundo que se observan. Dale a soltar, y con el medidor de alturas confecciona la gráfica posición-tiempo. Representa la gráfica posición-tiempo con los datos obtenidos.
|
|
CONVENIO DE SIGNOS |
| En los problemas de movimientos ya dijimos lo útiles que
son los esquemas para incluir los datos. Estos esquemas nos dan una
visión más intuitiva de los problemas, nos sirven para entenderlos
mejor.
De la misma forma es importante tener un criterio de signos claro.
Tanto posiciones como velocidades y aceleraciones pueden ser positivas o
negativas, debemos saber distinguirlas en cada caso.
Las posiciones las representamos en un eje. A partir de un
origen, nos podemos mover en un sentido o en sentido contrario.
Arbitrariamente escogemos un sentido como positivo y el contrario como
negativo. Como el origen de coordenadas lo podemos colocar donde queramos
es muy útil colocarlo en un lugar que haga que todas las posiciones sean
positivas, para evitar los números negativos.
Las velocidades pueden ser positivas o negativas. Teniendo en
cuenta la ecuación de la velocidad, las velocidades que hagan que el
móvil se aleje del origen de coordenadas serán positivas y las
velocidades que hagan que el móvil se acerque al origen de coordenadas
serán negativas. Trabajando con valores positivos de las posiciones,
si el sentido del vector velocidad es alejarse del origen de coordenadas
son positivas, si es acercarse al origen de coordenadas son negativas.
Las aceleraciones también pueden ser positivas o negativas.
Teniendo en cuenta la ecuación de la aceleración, las aceleraciones
tienen el mismo sentido que el aumento de la velocidad. Si la velocidad
aumenta hacia abajo, la aceleración tiene sentido hacia abajo, tiene el
mismo sentido. ¿Pero será positiva o negativa? Pues depende de dónde
esté el origen de coordenadas. Si el origen de coordenadas está en el
punto más bajo y la velocidad aumenta hacia el origen de coordenadas,
las velocidades hacia abajo serán negativas y las velocidades hacia
arriba positivas, como la aceleración tiene el mismo sentido que el
aumento de velocidad, si la velocidad aumenta hacia abajo, y las
velocidades hacia abajo son negativas, pues acercan el móvil al origen
de coordenadas, la aceleración será también negativa. Pero si el origen
de coordenadas está en un punto alto, y las posiciones debajo de este
origen las consideramos positivas, las velocidades hacia abajo aumentan
y son positivas, y la aceleración tiene este mismo sentido hacia abajo,
y por tanto será positiva. Por eso es tan importante hacer un esquema
del problema y ser consecuente con él. Recuerda que el signo de
velocidades y aceleraciones sólo nos informa del sentido de estas
magnitudes vectoriales.
Algunos casos los podemos representar en este esquema para movimientos
horizontales y verticales.
SIMULACIÓN
DE EDUCAPLUS: CAÍDA LIBRE, GRÁFICAS
EJERCICIO 8: En la simulación fija una posición inicial. Dibuja un esquema con las gráficas que se deben obtener. Dale a soltar, observa las gráficas y compáralas con las que has dibujado.
EJERCICIOS
PARA PRACTICAR

|
|
COMPOSICIÓN DE
MOVIMIENTOS |
| Hay movimientos que os podemos explicar como compuestos de
dos movimientos sencillos, como por ejemplo la composición de dos MRU
perpendiculares o el movimiento parabólico.
La posición y velocidad en cada punto será la resultante de esas
magnitudes en cada uno de los movimientos. Por eso debemos tener muy claro
cuales son esos movimientos que se componen ya que cada uno tendrá sus
respectivas ecuaciones.
Composición de dos MRU perpendiculares:
Se da por ejemplo cuando una barca cruza un río con corriente
constante. Si la barca se desplaza perpendicularmente a la dirección de
la corriente con velocidad constante, la posición de la barca y su
velocidad se calculará a través de la composición de ambos movimientos.
vx es la velocidad de la corriente y vy
la velocidad perpendicular de la barca. La velocidad v la
calculamos en función de las componentes vx e vy.
El tiempo t que tarda la barca en cruzar el río lo calculamos a
través del movimiento sobre el eje Y ya que conocemos el ancho del río.
Este mismo tiempo nos permite calcular la coordenada x, y con
ésta la distancia r que recorre la barca para cruzar el río.
SIMULACIÓN
DE EDUCAPLUS: CRUZAR UN RÍO
EJERCICIO 9: En la simulación fija la velocidad de la corriente, la velocidad de la moto y la dirección de la proa. Si el ancho del río es 110m, calcula primero el tiempo que tarda en cruzar el río y la distancia río abajo a la que cruza. Luego confirma los resultados con la aplicación.
Movimiento parabólico:
Este movimiento se da cuando lanzamos un cuerpo con una dirección que
no sea vertical. En vertical el movimiento es uniformemente acelerado y en
horizontal es un movimiento uniforme.
Las posiciones y velocidades horizontales las calculamos a través de
las ecuaciones del MRU, y las posiciones y velocidades verticales las
calculamos a través de las ecuaciones del MRUA. Este movimiento tiene una
aceleración que es g = −9,8m/s2.
Para calcular el tiempo de vuelo utilizamos el movimiento vertical
uniformemente acelerado, sabiendo que cuando llega al suelo y = 0.
Para calcular el alcance utilizamos el tiempo de vuelo en el movimiento
horizontal uniforme.
Para calcular la altura máxima, ymax, Utilizamos el movimiento vertical
uniformemente acelerado, sabiendo que en la altura máxima vy
= 0.
SIMULACIÓN
UNIVERSIDAD DE COLORADO: MOVIMIENTO DE UN PROYECTIL
SIMULACIÓN
DE EDUCAPLUS: TIRO PARABÓLICO
EJERCICIO 10: En la simulación fija la velocidad y el ángulo con la horizontal. Calcula primero la altura máxima, el alcance y el tiempo de vuelo. Luego confirma los resultados con la aplicación.
EJERCICIOS
PARA PRACTICAR

|
|
MOVIMIENTO CIRCULAR
UNIFORME |
|
MOVIMIENTO CIRCULAR UNIFORME (MCU): un movimiento es circular
uniforme cuando la trayectoria es una circunferencia y la velocidad angular es
constante.
Para describir este movimiento podemos utilizar la distancia
sobre el arco o los ángulos que recorre el móvil. Los ángulos los podemos
medir en grados sexagesimales o en radianes.
Un radián es un ángulo cuyo arco equivale al radio.
¿A cuántos radianes equivale la
circunferencia completa? Recuerda esta equivalencia.
En este movimiento podemos utilizar dos fórmulas para calcular
la velocidad, una es la velocidad lineal en función del arco recorrido y otra
es la velocidad angular en función del ángulo recorrido.
Velocidad lineal: es el cociente entre la distancia recorrida
por el móvil sobre la circunferencia y el tiempo empleado.
Velocidad angular: es el cociente entre el ángulo girado por
el móvil con respecto al centro de la circunferencia y el tiempo empleado.
De ella deducimos la ecuación del movimiento:
Equivalencia entre la velocidad lineal y angular
Universo Mecánico - 9 - El círculo en Movimiento
EJERCICIOS
PARA PRACTICAR

|
|
MOVIMIENTO CIRCULAR
UNIFORMEMENTE ACELERADO |
| Movimiento circular uniformemente acelerado (MCUA) es aquel que tiene
la trayectoria circular y la aceleración angular constante.
Necesitamos otra ecuación para las posiciones angulares:
Estas ecuaciones son similares a las del MRUA con magnitudes angulares.
Despejando el tiempo en la primera y sustituyéndolo en la segunda
tenemos:

|
|
MOVIMIENTO
ARMÓNICO SIMPLE |
| Llamamos movimientos oscilatorios o vibratorios a los
movimientos periódicos que se producen cuando un cuerpo se desplaza
alternativamente a un lado o al otro de una posición de equilibrio.
Piensa en el péndulo de un reloj, un árbol moviéndose por el viento,
una cuerda de guitarra sonando, el movimiento del pistón en el motor o en el
deporte de riesgo llamado puenting.
Cuando un movimiento oscilatorio lo podemos representar por una
función seno o coseno nos encontramos con un movimiento que llamamos
armónico. Dentro de estos movimientos estudiaremos el Movimiento
Armónico Simple (MAS), que se ajusta a muchos movimientos que encontramos
en la naturaleza.
Cuando un móvil se desplaza sobre el eje X oscilando sobre el origen
de coordenadas se dice que describe un movimiento armónico simple cuando
su posición viene dada por la siguiente función:
x es la elongación, nos da la posición del móvil en cualquier
instante t.
A es la amplitud, es el valor de la elongación máxima.
φ y φ0 son la fase y la fase inicial, se miden en
radianes. φ=ω·t+φ0.
ω es la frecuencia angular, se mide en rad/s. Está relacionada
con otras dos magnitudes importantes: ω=2π/T=2π·f
T es el período. Tiempo correspondiente a una oscilación
completa. Se mide en segundos.
f es la frecuencia. Representa el número de oscilaciones por
segundo. Se mide en hertzs o s-1.
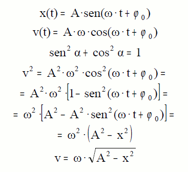
Imaginemos un cuerpo que oscila entre dos posiciones A y -A.
La velocidad la calculamos derivando la función que nos da la
posición.
Como el sen o el cos oscilan entre +1 y -1, el valor máximo que puede
alcanzar la velocidad es:
Podemos encontrar una expresión que nos relaciona la velocidad con la
elongación:
Para calcular la aceleración derivamos la función de la velocidad:

|
|
 |
|