|
- CONCEPTO DE FUERZA
- MEDIDA DE FUERZA
- LAS FUERZAS SON VECTORES
- EL PESO
-
PRIMERA LEY DE NEWTON: LEY DE LA INERCIA
-
SEGUNDA LEY DE NEWTON: LEY FUNDAMENTAL DE LA DINÁMICA
- FUERZA NORMAL
- FUERZA DE ROZAMIENTO
-
TERCERA LEY DE NEWTON: LEY DE ACCIÓN Y REACCIÓN
-
MOMENTO LINEAL O CANTIDAD DE MOVIMIENTO
- TEOREMA DEL IMPULSO MECÁNICO
-
PRINCIPIO DE CONSERVACIÓN DE LA CANTIDAD DE MOVIMIENTO
|
|
CONCEPTO DE FUERZA |
| Las palabras que usamos en el lenguaje cotidiano no
siempre tienen el mismo significado que le damos en el campo de la
ciencia. Eso pasa con la palabra fuerza. Cuando decimos en la vida
cotidiana que algo tiene mucha fuerza o que es muy fuerte lo asociamos
más al concepto físico de energía.
¿Qué es la fuerza? A veces las fuerza se notan, por ejemplo cuando
hay una deformación, cuando provocan un movimiento. Pero otras veces no
se notan, cuando ponemos la mesa, colocamos platos, vasos y cubiertos
sobra la mesa, no vemos las fuerzas que se establecen entre estos
objetos y la mesa, pero existen.
¿Quieres saber si hay una fuerza? Pues piensa si hay una
interacción entre dos cuerpos. Si hay interacción entre dos cuerpos
seguro que hay una fuerza. ¿Interacciona el plato con la mesa?, pues
entonces hay fuerza.
Podemos decir que las fuerzas ponen de manifiesto la interacción
entre los cuerpos.
Cuando se clasifican las fuerzas a veces las dividimos en fuerzas por
contacto y fuerzas a distancia. Dar una patada a un balón sería una
fuerza por contacto y la atracción gravitatoria que hace que el balón
vuelva al suelo sería una fuerza a distancia. En realidad todas las
fuerzas son fuerzas a distancia, si las podríamos dividir en fuerzas a
pequeña distancia y a gran distancia.
¿Cómo podemos detectar las fuerzas? Ya vemos que no es fácil a
veces. Tenemos que fijarnos en los efectos que producen las fuerzas
sobre los cuerpos y estos son sólo tres:
- Las fuerzas producen aceleraciones
- Las fuerzas producen deformaciones
- Las fuerzas mantienen a los cuerpos en equilibrio
Si detectamos alguno de estos efectos es que estamos ante unas
fuerzas.
Las fuerzas son más curiosas todavía, nunca aparecen solas,
aparecen a pares, de dos en dos, curioso ¿no?

|
|
MEDIDA DE FUERZA |
| Para medir una fuerza debemos observar que propiedades provocan
en los cuerpos. Hay cuerpos rígidos, como una piedra, que no se
modifican por la acción de una fuerza, estos no nos valen para medir
fuerzas. Hay otros plásticos, como el barro, que se deforman
permanentemente por acción de las fuerzas, tampoco nos valen. Pero hay
unos materiales, los elásticos, que se deforman de una forma
proporcional a las fuerzas, como los muelles o resortes, éstos son muy útiles
para medir las fuerzas.
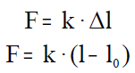
Los cuerpos elásticos siguen una ley, que se llama ley de Hooke, y
que nos dice que las deformaciones que sufren son proporcionales a las
fuerzas.
k es la constante de recuperación del muelle, depende del material y
de como esté construido, y sus unidades S.I. son N/m
La unidad de fuerza en el S.I. es el newton, N. Equivale al peso de
una masa de 102g aproximadamente.
Para medir las fuerzas usamos dinamómetros. Son aparatos que
disponen de un muelle elástico con el que hacemos la medida.
SIMULACIÓN:
LEY DE HOOKE, en phet.colorado.edu
PRÁCTICA 1:
A) En el apartado Introducción, puedes modificar la Constante
elástica, luego marca Desplazamiento en el cuadro de la
derecha y estira o comprime el resorte con la Fuerza aplicada que
quieras. Calcula entonces por la Ley de Hooke la elongación, comprueba
marcando Valores.
B) En el apartado Energía, puedes modificar la Constante elástica,
luego marca Fuerza aplicada en el cuadro de la derecha y estira o
comprime el resorte con el Desplazamiento que quieras. Calcula
entonces por la Ley de Hooke la fuerza, comprueba marcando Valores.

|
|
LAS FUERZAS SON
VECTORES |
| Las fuerzas no dependen sólo de su valor numérico,
dependen de la dirección y sentido en que hagamos la fuerza, eso nos
indica que estamos ante una magnitud vectorial. Por tanto para definir
una fuerza debemos hablar de su origen, su módulo, su dirección y su
sentido.
Si representamos las fuerzas sobre unos ejes de coordenadas, podemos
calcular sus componentes, su módulo y el ángulo que forman con la
horizontal.
Fíjate en la fuerza F que está representada sobre unos ejes de
coordenadas, ¿Cómo representamos la fuerza en coordenadas cartesianas?
Otra forma de representar la fuerza F es en coordenadas polares, es
decir, dando su módulo y el ángulo que forma con la horizontal.
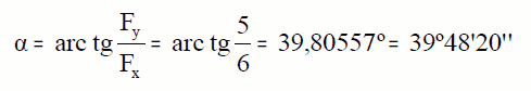
El ángulo que forma con la horizontal lo calculamos a partir de la
tangente:
Si conocemos el módulo de la fuerza y el ángulo podemos conocer las
componentes perpendiculares. Esto será muy útil cuando queramos
calcular la resultante de varias fuerzas concurrentes.
SIMULACIÓN:
CONVERSIÓN COMPONENTES CARTESIANAS Y POLARES, en educaplus.org
SIMULACIÓN:
SUMA DE VECTORES, en educaplus.org
SIMULACIÓN:
SUMA DE VECTORES 2, en educaplus.org
Cuando varias fuerzas actúan a la vez sobre el mismo cuerpo podemos
calcular su resultante. La resultante de un conjunto de fuerzas es la
fuerza que produce el mismo efecto que el conjunto de fuerzas. Esta
resultante es la suma vectorial de esas fuerzas. Cuando varias fuerzas
actúan a la vez sobre un mismo cuerpo el efecto que producen es igual que
si sólo actuara una fuerza, que sea igual a la suma vectorial de todas
las fuerzas, y que llamaremos resultante.
EJERCICIOS
PARA PRACTICAR

|
|
EL PESO |
| Todos los cuerpos experimentamos en la Tierra una fuerza
que es lo que llamamos peso. Somos atraídos por la Tierra como
si algo estuviera tirando de nosotros hacia abajo. Recuerda que sólo
hay fuerza cuando hay interacción entre dos cuerpo. Podemos decir que
la Tierra nos atrae, de todas formas ya estudiaremos esta fuerza más en
profundidad.
Peso es la fuerza con la que la Tierra nos atrae, y apunta hacia
el centro de la Tierra.
El módulo del peso es directamente proporcional a la masa del
cuerpo.
g es la aceleración de la gravedad, es la aceleración con la
que caen todos los cuerpos en la superficie de la Tierra. Si la masa la
damos en kilogramos el peso lo obtenemos en newtons.
¿Cuál es el peso de una persona de 60kg?
P = m·g = 60kg · 9,8m/s2 = 588N
SIMULACIÓN:
PESO Y MASA DE LOS CUERPOS, en educaplus.org
Te parecerá extraño, pues el peso se suele dar en kilos, pero no
kilogramos que es unidad de masa, sino kilopondios que es el peso de un
kilogramo de masa, y equivale a 9,8N.
SIMULACIÓN:
MASAS Y RESORTES en phet.colorado.edu
Vamos a utilizar esta simulación para determinar unos pesos
experimentalmente.
PRÁCTICA 2:
Vamos a trabajar en el apartado Estiramiento. En él observas dos resortes. Vamos a trabajar con el resorte 2. Puedes variar la fuerza del resorte, así harás que se elongue más, o menos. Pero utiliza para todos los apartados la misma fuerza del resorte, no la varíes. Puedes ayudarte de las líneas: azul (longitud sin estirar) y verde (posición de equilibrio). También puedes utilizar la regla graduada en cm.
a) Coloca distintas masas conocidas, de 50g, 100g y 250g y comprueba que la elongación es proporcional a la masa que se cuelga.
b) Calcula la constante elástica del resorte, a partir de la ley de
Hooke, P = k·Δl sabiendo que el peso es P = m·g
c) Una vez calculada la constante elástica del resorte, coloca en el resorte las masas roja, azul y verde y determina sus masas.
Solución
EJERCICIOS
PARA PRACTICAR

|
|
PRIMERA LEY DE NEWTON:
LEY DE LA INERCIA |
| La dinámica estudia la relación que hay entre fuerzas y
movimientos.
Iniciamos el estudio de la Dinámica con las Leyes de
Newton. Isaac Newton (1642-1727), publicó, por primera vez, en 1687 su famoso libro "Philosophiae Naturalis Principia Mathematica"
("Principios matemáticos de filosofía natural"), en el que enuncia lo que conocemos por Leyes de Newton.
 |
|
Isaac Newton (1642-1727) |
Sabemos que las fuerzas provocan movimientos, y esto nos lleva a
pensar que si hay fuerzas habrá necesariamente movimientos, veremos que
no siempre es así.
Según las ideas aristotélicas los cuerpos tienden al reposo. Parece
algo obvio, pero Galileo nos hizo entender que esto es erróneo, los
cuerpos tienden a mantener su movimiento. Si un cuerpo está en reposo
tenderá a mantenerse en reposo, pero si se mueve con cierta velocidad
tenderá a mantener esa velocidad constante. En realidad reposo y
velocidad constante sólo dependen del punto de vista del observador. El
movimiento es relativo, no existe un reposo o un movimiento absoluto, todo
depende del sistema de referencia que se considere. Pero si esto no
ocurre, si un cuerpo en reposo se mueve o si varía su velocidad, es
porque hay alguna interacción o fuerza que lo provoca.
Universo Mecánico - 4 - La ley de inercia
La primera Ley de Newton se la debemos a Galileo Galilei.
 |
|
Galileo Galilei (1564-1642) |
A Galileo le preocupaba conocer como era el movimiento de los cuerpos
en caída libre. Si dejamos caer un cuerpo en caída libre vemos que es
tan rápido que no nos da tiempo a entenderlo. Por eso Galileo usó
planos inclinados. Dejaba caer una bola por un plano inclinado
ralentizando así la caída que era ya más fácil de estudiar.
Se observa que al descender la bola aumenta su velocidad. Este
aumento de la velocidad lo achacamos al peso o fuerza que la Tierra hace
sobre la bola.
Pero si lanzamos la bola sobre el plano ascendente observamos que la
bola se frena, su velocidad disminuye. También será por culpa del peso
que frena la velocidad que le proporcionamos al lanzarla.
Pero qué pasará si la bola la lanzamos sobre un plano horizontal.
Su velocidad no debería aumentar pues el plano no es descendente, ni
debería disminuir pues el plano no es ascendente. Por tanto su
velocidad debería mantenerse constante.
Sabemos que no es esto exactamente lo que ocurre. ¿Por qué? Pues
porque hay rozamientos que frenan la bola, pero si la superficie fuera
muy pulida la velocidad tardaría más en disminuir, ¿conoces el
deporte del curling?
En el espacio exterior donde no hay rozamiento si damos un impulso a
un cuerpo no se frena nunca, así es como viajan los satélites que
mandamos a explorar otros planetas. Si viajáramos en esta nave
experimentaríamos la ingravidez, que nos resultaría una sensación muy
rara ya que no estamos acostumbrados a ella. ¿Cómo podríamos simular una
cierta gravedad en la nave? Nos lo cuentan en este vídeo de Órbita Laika:
También podemos experimentar la ingravidez en vuelos parabólicos,
como en este vídeo:
La primera ley de Newton la podemos representar de esta forma
Podemos enunciar esta ley de esta forma:
Si la resultante de las fuerzas que actúan sobre un cuerpo es
cero, este se mueve con movimiento rectilíneo uniforme o está en
reposo.
También la podemos enunciar al revés:
Si un cuerpo está en reposo o se mueve con movimiento rectilíneo
uniforme la resultante de las fuerzas que actúan sobre él es cero.
Esta ley es muy útil para encontrar todas las fuerzas que actúan
sobre un cuerpo en reposo o con MRU, ya que la resultante debe ser nula.
Recuerda también que si hay una fuerza es porque hay una interacción
entre dos cuerpos.
EJERCICIOS
PARA PRACTICAR

|
|
SEGUNDA LEY DE NEWTON:
LEY FUNDAMENTAL DE LA DINÁMICA |
| La primera ley nos dice lo que pasa cuando no actúan
fuerzas sobre un cuerpo o la resultante es cero. Pero ¿qué ocurrirá
si la resultante de las fuerzas que actúan sobre un cuerpo es distinta
de cero? Podemos pensar que la velocidad no será cero ni constante, es
decir, variará. Pues eso es lo que realmente ocurre.
Universo Mecánico - 6 - Las leyes de Newton
Siempre que la resultante es distinta de cero hay aceleración, y
también, si hay aceleración es porque la resultante es distinta de
cero. Lo que nos dice la segunda ley de Newton es que esta aceleración
es directamente proporcional a la resultante. La aceleración es un
vector, que tendrá la misma dirección y sentido que la fuerza
resultante.
Podemos enunciar esta ley de esta forma:
Si sobre un cuerpo actúa una fuerza resultante distinta de cero,
adquiere una aceleración que es directamente proporcional a la fuerza
aplicada, siendo la masa la constante de proporcionalidad.
La fuerza neta que actúa sobre un cuerpo va a cambiar su velocidad,
y este cambio de velocidad puede suponer:
- Que aumente su velocidad, se acelera.
- Que disminuya su velocidad, se frene.
- Que cambie la dirección de la velocidad, se curve la trayectoria.
Si observas estos cambios en un cuerpo puedes estar seguro que su
resultante es distinta de cero. La segunda ley de Newton, de alguna
manera, incluye a la primera ley de Newton, ya que si la resultante que
actúa sobre un cuerpo es cero, entonces, m·a = 0, lo que implica que
la aceleración es cero, y esto solo ocurre si la velocidad es constante
en módulo y dirección. Si tenemos una masa de 1kg y al aplicarle una
fuerza su aceleración es de 1m/s2, la fuerza aplicada es de
1N. 1N = 1kg · 1m/s2 Por tanto
podemos definir el newton, N, como la fuerza que tenemos que
realizar sobre un kilogramo de masa para que su aceleración sea de 1m/s2. SIMULACIÓN:
LEYES DE LA DINÁMICA, en educaplus.org
EJERCICIOS
PARA PRACTICAR 
|
|
FUERZA NORMAL |
|
Cuando tenemos un cuerpo apoyado sobre una superficie y
pensamos en las fuerzas que actúan sobre él siempre pensamos en el
peso. ¿Pero habrá más fuerzas? Si el peso fuera la única fuerza por
la segunda ley de Newton el cuerpo debería moverse con aceleración.
Pero si está en reposo debe existir otra fuerza igual y de sentido
contrario que actúe sobre ese cuerpo y anule la fuerza del peso, es la normal.
Se llama así por ser una fuerza perpendicular a la superficie de
sustentación. Es la fuerza que la superficie hace sobre el cuerpo.
En este caso la fuerza normal, N = − P = − m·g
En el caso de un cuerpo sobre un plano inclinado
La fuerza normal es igual a la componente del peso en la dirección
normal, o perpendicular a la superficie.
Observa en la siguiente simulación cómo varían las componentes del
peso al variar el ángulo de inclinación del plano.
SIMULACIÓN:
DESCOMPOSICIÓN DEL PESO EN UN PLANO INCLINADO, en educaplus.org
EJERCICIOS
PARA PRACTICAR

|
|
FUERZA DE ROZAMIENTO |
| Cuando intentamos arrastrar un mueble pesado, muchas
veces no conseguimos moverlo, no sin el esfuerzo de estar haciendo mucha
fuerza. ¿Por qué no se mueve? Según la primera ley de Newton debe
haber una fuerza igual y de sentido contrario a la que estamos haciendo.
¿Qué fuerza es esa? Es la fuerza de rozamiento. La superficie del
suelo no es pulida, siempre hay rugosidades que hacen que cueste
deslizar los cuerpos. Todas las superficies son algo rugosas, por eso
cuando lanzamos una pelota sobre el suelo termina por pararse.
El movimiento de las superficies al rozar unas contra otras producen
calor, que se disipa, y un aumento de la temperatura, como se observa en
esta simulación.
SIMULACIÓN:
ROZAMIENTO Y TEMPERATURA, en phet.colorado.edu
La fuerza de rozamiento tiene algunas características que debemos
saber:
- Es una fuerza paralela a la superficie de contacto.
- Tiene sentido contrario al movimiento, o a la componente
tangencial de la fuerza que hacemos para mover, o intentar mover, el
cuerpo.
- La fuerza de rozamiento es mayor cuando el cuerpo aún está en
reposo que cuando se pone en movimiento.
- La fuerza de rozamiento depende de la naturaleza y estado de las
superficies, pero no del área de contacto, a través del
coeficiente de rozamiento. Hay un coeficiente estático cuando el
cuerpo está en reposo, y un coeficiente cinético cuando el cuerpo
está en movimiento.
- La fuerza de rozamiento depende de la fuerza normal del cuerpo.
Si el cuerpo está sobre una superficie horizontal:
Si la fuerza motriz, Fm, es igual a la fuerza de
rozamiento, Fr, el cuerpo está en reposo o se mueve con
velocidad constante.
Si el cuerpo está sobre un plano inclinado:
Si la componente tangencial del peso, Ft, es igual a la
fuerza de rozamiento, Fr, el cuerpo está en reposo o desliza
con velocidad constante.
Dado que la fuerza de rozamiento es contraria al movimiento podemos
pensar que para el movimiento sería mejor que no hubiera fuerzas de
rozamiento, que las superficies fueran superpulidas. Pero resulta que es
todo lo contrario, si la superficie es muy resbaladiza el movimiento es
casi nulo. Recuerda que para andar empujamos el suelo hacia atrás, es
la fuerza de reacción que hace el suelo sobre nosotros la que nos
mueve. Si resbalamos al empujar el suelo hacia atrás no podemos andar.
¿Por qué los atletas ponen zapatillas de clavos? ¿Por qué los coches
de Formula 1 montan ruedas tan anchas?
SIMULACIÓN:
FUERZAS Y MOVIMIENTO, en phet.colorado.edu
PRÁCTICA: FUERZAS Y MOVIMIENTO. Utiliza la anterior
simulación.
a) En el apartado Fuerza neta. Comprueba que si hacemos la
misma fuerza en sentidos contrarios el cuerpo no se mueve, pero si
hacemos más fuerza en un sentido que en el otro la resultante es
distinta de cero y hay movimiento.
b) En el apartado Movimiento. Puedes controlar con el ratón
la fuerza que haces sobre la caja. Se supone que no hay rozamiento. Si
haces fuerza sobre la caja esta se mueve. Si sueltas el ratón dejas de
hacer fuerza y la caja sigue moviéndose a velocidad constante, recuerda
la primera ley de Newton. Si cuando está en movimiento inviertes
el sentido de la fuerza logras pararlo, incluso invertir el movimiento.
Pero fíjate que si dejas de hacer fuerza el cuerpo sigue en movimiento
uniforme.
c) En el apartado Fricción. Empieza haciendo poca fuerza
sobre el cuerpo. Observa que no se mueve, pues hay fuerza de rozamiento.
Esta fuerza de rozamiento siempre se opone a la fuerza que hacemos. Si
hacemos más fuerza el cuerpo se mueve, pero si dejamos de hacer fuerza
ahora el cuerpo se va frenando, pues sigue actuando la fuerza de
rozamiento producida por la rugosidad de las superficies, de la caja y
del suelo. Clica en Valores. Aumenta poco a poco la fuerza que
haces, la fuerza de rozamiento también va aumentando, pero observa que
cuando se empieza a mover el cuerpo la fuerza de rozamiento disminuye de
golpe. ¿Por qué? Pues porque el coeficiente estático de rozamiento es
mayor que el coeficiente cinético. Por eso cuando arrastramos un
mueble, nos cuesta más ponerlo en movimiento que mantenerlo en
movimiento.
d) En el apartado Aceleración. Es parecido al anterior, pero
ahora podemos conocer la aceleración, clica en Aceleración.
Observa que hay aceleración sólo cuando la resultante es distinta de
cero. Recuerda la segunda ley de Newton.
SIMULACIÓN:
DINÁMICA DE UN MÓVIL EN EL PLANO INCLINADO, en educaplus.org
SIMULACIÓN:
DINÁMICA DE UN MÓVIL CON MOTOR EN EL PLANO INCLINADO, en educaplus.org
SIMULACIÓN:
DINÁMICA DE DOS MASAS QUE CUELGAN DE UNA POLEA, en educaplus.org
EJERCICIOS
PARA PRACTICAR

|
|
TERCERA LEY DE NEWTON:
LEY DE ACCIÓN Y REACCIÓN |
| Recuerda que al definir una fuerza dijimos que una fuerza
pone de manifiesto la interacción entre dos cuerpos. Si hay una fuerza
hay dos cuerpos interaccionando. Bien, pues debemos añadir que en ese
caso no hay una fuerza, hay dos. Podemos decir que "nos dan dos por
el precio de una".
Imagina dos patinadores. El patinador A empuja a B, el patinador A
hace fuerza sobre B, pero ¿qué ocurre realmente? Ocurre que el
patinador B sale desplazado por acción de esa fuerza, pero también
sale desplazado el patinador A en sentido contrario, como si B empujara
a A. Esto es lo normal en todas las fuerzas, cada interacción supone un
par de fuerzas, que mal llamaremos fuerzas de acción-reacción. Estas
fuerzas son iguales, de la misma dirección y de sentidos contrarios,
pero no se anulan pues se aplican a distintos cuerpos.
FAB es la fuerza que hace A sobre B, y FBA es
la fuerza que hace B sobre A. Son fuerzas iguales, de sentido contrario
y se hacen sobre distintos cuerpos.
Te has preguntado alguna vez qué fuerzas haces para saltar o para
andar. Si quieres saltar, ¿hacia dónde haces fuerza, hacia arriba o
hacia abajo?
Para saltar hacemos fuerza hacia abajo, empujamos el suelo hacia
abajo, pero el suelo hace fuerza sobre nosotros hacia arriba, nos
impulsa hacia arriba.
Cuando andamos pasa algo parecido, hacemos fuerza hacia atrás y el
suelo nos impulsa hacia adelante. Haz un esquema de lo que ocurre.
EJERCICIOS
PARA PRACTICAR
 |
|
MOMENTO LINEAL O
CANTIDAD DE MOVIMIENTO |
| Seguramente alguna vez jugaste a lanzar piedras
a gran distancia. Habrás comprobado que las piedras pequeñas adquieren
más velocidad que las piedras más pesadas, por eso éstas no las
lanzamos muy lejos. También si jugaste al rugby sabrás que es más
fácil placar o parar a un contrincante más ligero que nosotros que a uno
más pesado.
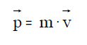
Estas experiencias nos hablan de una magnitud que llamamos momento
lineal o cantidad de movimiento:
El momento lineal o cantidad de movimiento es un vector que tiene la
misma dirección y sentido que la velocidad y su módulo es el producto
del módulo de la velocidad por la masa de cuerpo. Se mide en kg·m·s-1.
Esta magnitud nos permite entender la segunda ley de Newton de otra
forma:
La resultante de las fuerzas que actúan sobre un cuerpo es la
variación del momento lineal respecto al tiempo. Cuando hacemos una
fuerza neta sobre un cuerpo aumentamos su velocidad tanto más rápidamente
cuanto menor sea su masa.

|
|
TEOREMA DEL IMPULSO
MECÁNICO |
| Puede que te hayas dado cuenta que cuando
lanzamos un balón con la mano no tenemos que hacer tanta fuerza como
cuando lo lanzamos con una patada. Eso es así porque el efecto que
produce una fuerza no sólo depende del valor de la misma sino también
del tiempo en que esté actuando.
Observa en este vídeo que sucede cuando se golpea una pelota de golf.
Fíjate como el palo contacta con la bola durante un intervalo de tiempo.
También es interesante ver la deformación de una bola de golf al
impactar a 240km/h.
Fíjate como se deforma una pelota de tenis en el momento del saque:
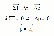
La expresión anterior de la segunda ley de Newton la podemos escribir
de otra forma:
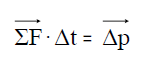
El primer miembro de esta ecuación es una nueva magnitud que llamamos impulso
mecánico y representamos por la letra I. Es un vector que
tiene la misma dirección y sentido que la resultante. Su unidad es N·s.
Teorema del impulso mecánico: El impulso mecánico de una fuerza
resultante es igual a la variación de la cantidad de movimiento.
SIMULACIÓN:
IMPULSO MECÁNICO, en educaplus.org
EJERCICIOS
PARA PRACTICAR

|
|
PRINCIPIO DE
CONSERVACIÓN DE LA CANTIDAD DE MOVIMIENTO |
| Del teorema anterior podemos deducir un
principio de conservación fundamental de la Física, el principio de
conservación de la cantidad de movimiento. Universo Mecánico -
15 - Conservación de la cantidad de movimiento.
Supongamos que la resultante que actúa sobre un sistema de partículas
es cero:
En este caso la cantidad de movimiento del sistema se conserva, es
decir, la cantidad de movimiento del sistema es constante.
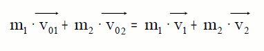
Si tenemos dos cuerpos que interactúan pero la resultante sobre los
mismos es cero, se cumple:
Es decir, la cantidad de movimiento es igual antes y después del
choque.
EJERCICIOS
PARA PRACTICAR

|
|
|